Aufgabe 2
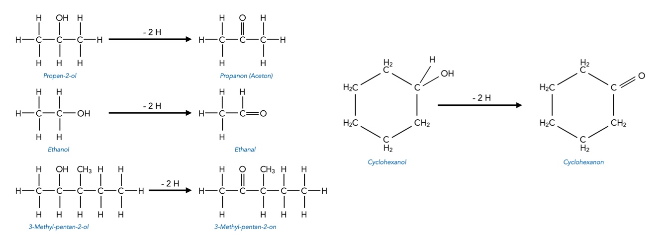
Zeichnen und benennen Sie die Reaktionsprodukte, die bei der Oxidation von Propan-2-ol, Ethanol, 3-Methyl-pentan-2-ol und Cyclohexanol entstehen.

Die Oxidationsprodukte von vier Alkoholen
Autor: Ulrich Helmich 1/2025, Lizenz: Public domain.