Im Prinzip ist jede organische Verbindung, in der eine Carboxy-Gruppe und eine Amino-Gruppe gleichzeitig vorkommen, eine Aminosäure. Aus dem Schulunterricht kennen wir die sogenannten proteinogenen Aminosäuren wie beispielsweise Glycin, Alanin oder Tyrosin. Insgesamt 20 bis 21 der Aminosäuren sind proteinogen, werden also während der Translation in ein Peptid oder Protein eingebaut.
Entsprechend bezeichnet man alle anderen Aminosäuren, die nicht während der Translation eingebaut werden, als nicht-proteinogen.
Die Bezeichnung nicht-biogen ist dagegen falsch, denn die nicht-proteinogenen Aminosäuren spielen durchaus eine wichtige Rolle im Stoffwechsel der Zelle, haben also eine biologische Funktion.
Bisher sind über 400 nicht-proteinogene Aminosäuren bekannt, die aber biologisch gebildet werden.
Viele dieser Aminosäuren kommen frei in der Zelle vor, also nicht in Peptide oder Proteine eingebunden. Durch besondere nicht-ribosomale Peptidsynthetasen können einige dieser Aminosäuren aber auch in Peptide oder Proteine eingebaut werden - posttranslational, also nach der Translation. Meistens finden solche posttranslationalen Modifikationen von Peptiden und Proteinen im Endoplasmatischen Reticulum oder in den Zisternen des Golgi-Apparates statt.
Eine lange Auflistung der nicht-proteinogenen Aminosäuren findet sich in dem deutschen Wikipedia-Artikel. Im Folgenden Abschnitt werden wir uns nur fünf dieser Aminosäuren exemplarisch ansehen.
Beispiele für nicht-proteinogene Aminosäuren

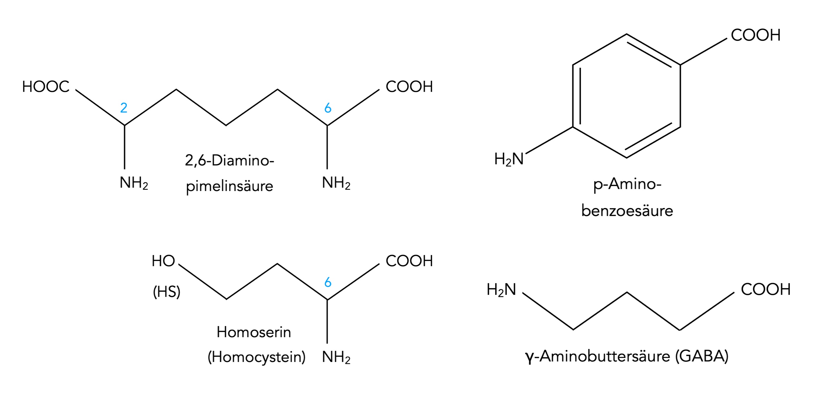
Fünf nicht-proteinogene Aminosäuren
Autor: Ulrich Helmich 08/2024, Lizenz: Public domain
Hier sehen wir vier Beispiele für solche nicht-proteinogenen Aminosäuren:
- 2,6-Diaminopimelinsäure (Bestandteil bakterieller Zellwände)
- p-Aminobenzoesäure (bakterielle Folsäure-Synthese)
- Homoserin bzw. Homocystein(Abbauprodukte von Methionin)
- γ-Aminobuttersäure (GABA) (hemmender Neurotransmitter)
Quellen:
- Wikipedia, Artikel "Nichtproteinogene Aminosäuren".