Helmichs Chemie-Lexikon

Aspirin-Synthese

Im Schulversuch wird Aspirin aus 2-Hydroxy-Benzoesäure (Trivialname: Salicylsäure) und Essigsäure-Anhydrid hergestellt, dabei dient konz. Schwefelsäure als Katalysator. Hier die Beschreibung eines typischen Schülerversuchs:

Versuch

Synthese von Acetylsalicylsäure (Aspirin)

Durchführung:

Man gibt 5 ml Essigsäure-Anhydrid und 2 g Salicylsäure in einen Erlenmeyerkolben. Dann werden ca. 5 Tropfen konz. Schwefelsäure zugetropft. Der Erlenmeyerkolben wird in einem Wasserbad ca. 2 Minuten bei 100 ºC erhitzt.

Anschließend gießt man den Inhalt des Erlenmeyerkolbens in ein Becherglas mit ca. 100 ml kaltem Wasser. Hier sollte ein farbloser Niederschlag entstehen.

Diesen Niederschlag filtriert man nun ab. Den Vorgang kann man mit Hilfe einer Saugflasche und einer Nutsche beschleunigen.

Das Filtrierpapier mit den Aspirin-Kristallen wird nun für ca. einen Tag im Trockenschrank bei 90 ºC getrocknet.

Hier nun die vollständige Beschreibung der Reaktionen, die während des Versuchs ablaufen. Beginnen wir mit den beiden organischen Ausgangsstoffen:

asdf

Die Ausgangsstoffe 2-Hydroxy-Benzoesäure (Salicylsäure) und Essigsäure-Anhydrid
Autor: Ulrich Helmich 2019, Lizenz: Public domain

Bei der Synthese von Aspirin handelt es sich im Grunde um eine nucleophile Substitution. Da ein Alkohol (2-Hydroxy-Benzoesäure) und eine Carbonsäure miteinander reagieren, könnte man die Reaktion auch als Veresterung betrachten.

Schauen wir uns zunächst an, wie das organische Substrat, also das Angriffsziel des Nucleophils, vorbereitet wird.

asdf

Schritt 1: Vorbereitung des organischen Substrats
Autor: Ulrich Helmich 2019, Lizenz: Public domain

Das Essigsäure-Anhydrid wird protoniert. Die Protonen stammen natürlich von der zugefügten Schwefelsäure. Das Ergebnis dieser Protonierung ist ein Carbenium-Ion, also das ideale Angriffsziel für ein Nucleophil. Durch den elektronenziehenden Effekt der beiden O-Atome wird das Carbenium-Ion noch stärker positiv, als es ohnehin schon ist. Allerdings wird es dadurch auch instabiler.

asdf

Angriff des Nucleophils Salicylsäure

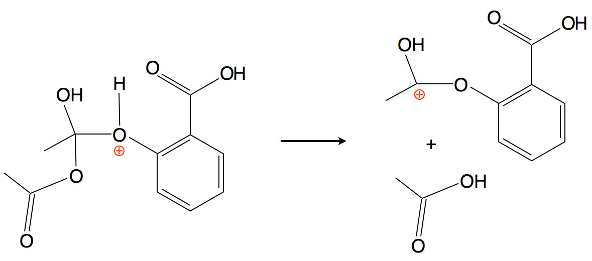
Die Salicylsäure tritt hier als Nucleophil auf und greift das Carbenium-Ion mit der einen OH-Gruppe an; genauer gesagt, mit dem negativ polarisiertem O-Atom dieser OH-Gruppe. Das es sich um ein neutrales Nucleophil handelt und nicht um ein anionisches, trägt das Reaktionsprodukt dieses Schrittes weiterhin eine positive Ladung. Diese "energetisch ungünstige Situation" kann nur durch einen weiteren Reaktionsschritt beseitigt werden:

asdf

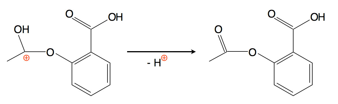
Abspaltung eines Essigsäure-Moleküls

Zunächst wird ein Essigsäure-Molekül abgespalten. Allerdings verschwindet die positive Ladung immer noch nicht, sondern befindet sich jetzt an einem C-Atom des Haupt-Produkts. Es hat sich also ein neues Carbenium-Ion gebildet. Theoretisch könnte sich jetzt ein weiteres Nucleophil anlagern, was aber nicht passiert. Statt dessen wird ein Proton abgespalten, und wir haben die fertige Acetylsalicylsäure:

asdf

Bildung des Endproduktes

Jetzt haben wir das Endprodukt Acetylsalicylsäure, und das Proton, das anfangs in die Reaktion "gesteckt" wurde, wurde wieder zurückgewonnen. Die Schwefelsäure ist also ein "echter" Katalysator, sie wurde während der Reaktion nicht verbraucht.

Quellen:

  1. Acytylsalicylsäure-Synthese Sek. 2 auf www.conatex.com
  2. Synthese von Acetylsalicylsäure auf www.swisseduc.ch
  3. RÖMPP Chemie-Lexikon, 9. Auflage, Band 4 (1991), S. 3060.