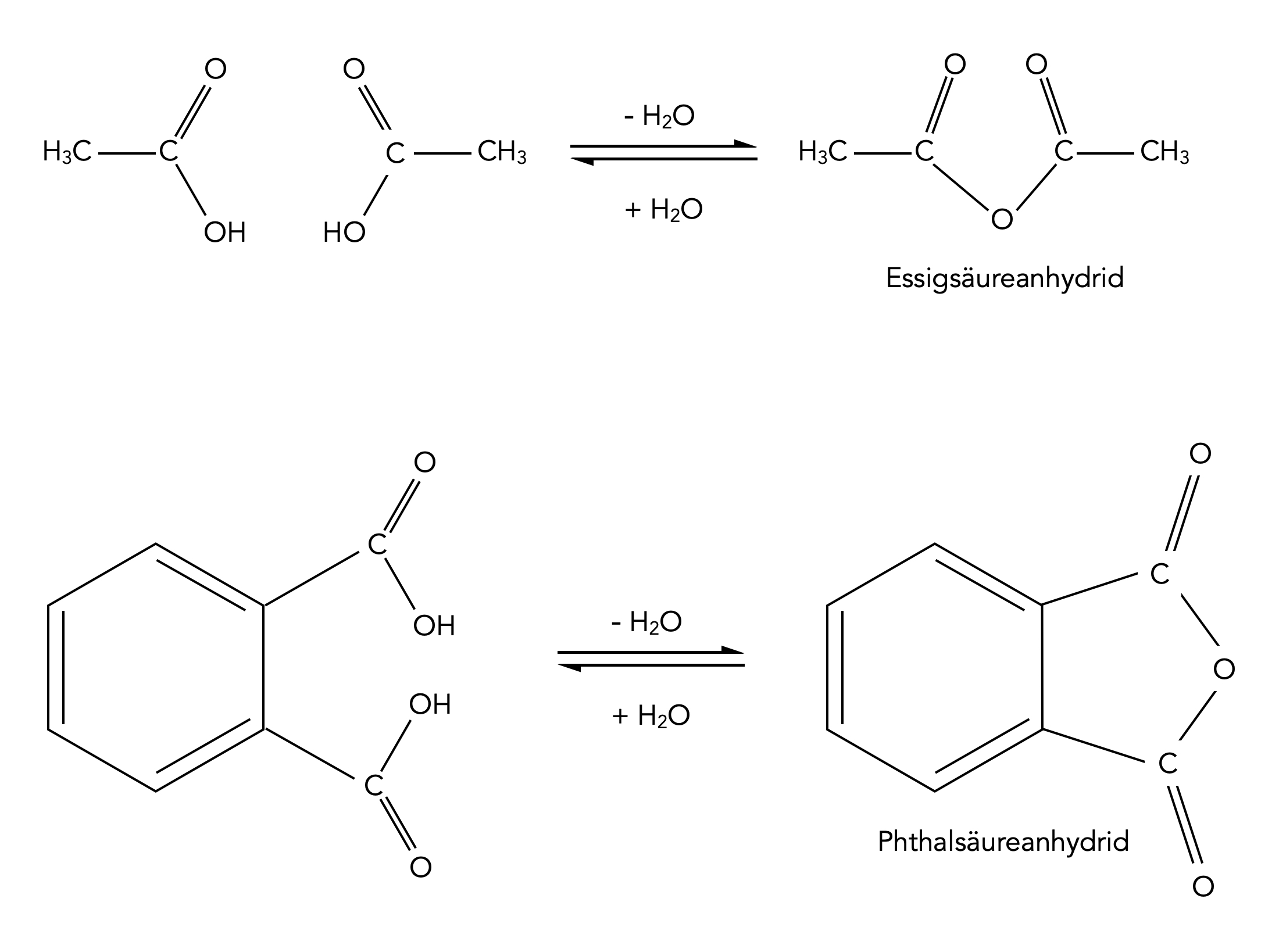
Rein formal entstehen Carbonsäureanhydride aus zwei Molekülen einer Carbonsäure, die sich unter Freisetzung eines Wasser-Moleküls zusammenschließen:

Bildung von Essigsäureanhydrid und Phthalsäureanhydrid
Autor: Ulrich Helmich 03/2024, Lizenz: Public domain
In der oberen Reihe sehen wir die Bildung von Essigsäureanhydrid, das durch den Zusammenschluss von zwei Essigsäure-Molekülen entsteht.
Die untere Reihe zeigt einen intramolekularen Zusammenschluss, aus Phthalsäure entsteht durch Dehydratisierung das Phthalsäureanhydrid, es bildet sich ein fünfgliedriger Heterozyklus.
Die Bildung eines Anhydrids ist in der Regel reversibel, wie die Gleichgewichtspfeile in der Abbildung andeuten.
Synthese
Die Bildung eines Carbonsäureanhydrids ist in der Regel eine nucleophile Substitution der OH-Gruppe einer Carbonsäure durch eine Acyl-Gruppe R-COO-. Diese Substitution verläuft weder nach dem SN1 noch nach dem SN2-Mechanismus, sondern nach dem Additions-Eliminierungs-Mechanismus (kurz A/E-Mechanismus), bei dem das Nucleophil zuerst angreift und das so gebildete tetraedrische Zwischenprodukt erst im zweiten Schritt das Nucleofug (hier OH-) abspaltet.
Normale Carbonsäuren wie beispielsweise Essigsäure sind allerdings nicht elektrophil genug für eine solche Anhydrid-Bildung, das Carboxy-C-Atom ist nicht stark genug positiv polarisiert. Carbonsäure-Chloride dagegen haben ein sehr reaktives Carboxy-C-Atom und können leicht Anhydride bilden.

Bildung von Butansäureanhydrid aus Butansäure und Butansäurechlorid
Autor: Ulrich Helmich 06/2024, Lizenz: Public domain
Weiterführende Links
Eine ausführlichere Darstellung zum Thema Carbonsäureanhydride finden Sie auf der Seite "Carbonsäuren, Reaktionen" in der Abteilung "Studienvorbereitung Organik".
Nicht nur Carbonsäuren können Anhydride bilden, sondern auch anorganische Säuren mit OH-Gruppen. Auf dieses Thema wird auf dieser Seite im Chemielexikon auf dieser Homepage eingegangen.
Und den Wikipedia-Artikel über Carbonsäureanhydride wollen wir hier auch nicht unerwähnt lassen.
Quellen:
- RÖMPP Chemie-Lexikon, 9. Auflage, Band 1 (1989), S. 41.
- K. P. C. VollhardT, N.E. Schore: Organische Chemie. 6. Auflage, Weinheim 2020.
- Buddrus, Schmidt, Grundlagen der Organischen Chemie, 5. Auflage, De Gruyter-Verlag 2014.
- Schirmeister, Schmuck, Wich, Beyer/Walter Organische Chemie, 25. Auflage, Hirzel-Verlag 2015.