In der Wikipedia finden wir folgende Definition:
"Die Fischer-Projektion ist eine Methode, die Raumstruktur einer linearen, chiralen chemischen Verbindung eindeutig zweidimensional abzubilden." [1]
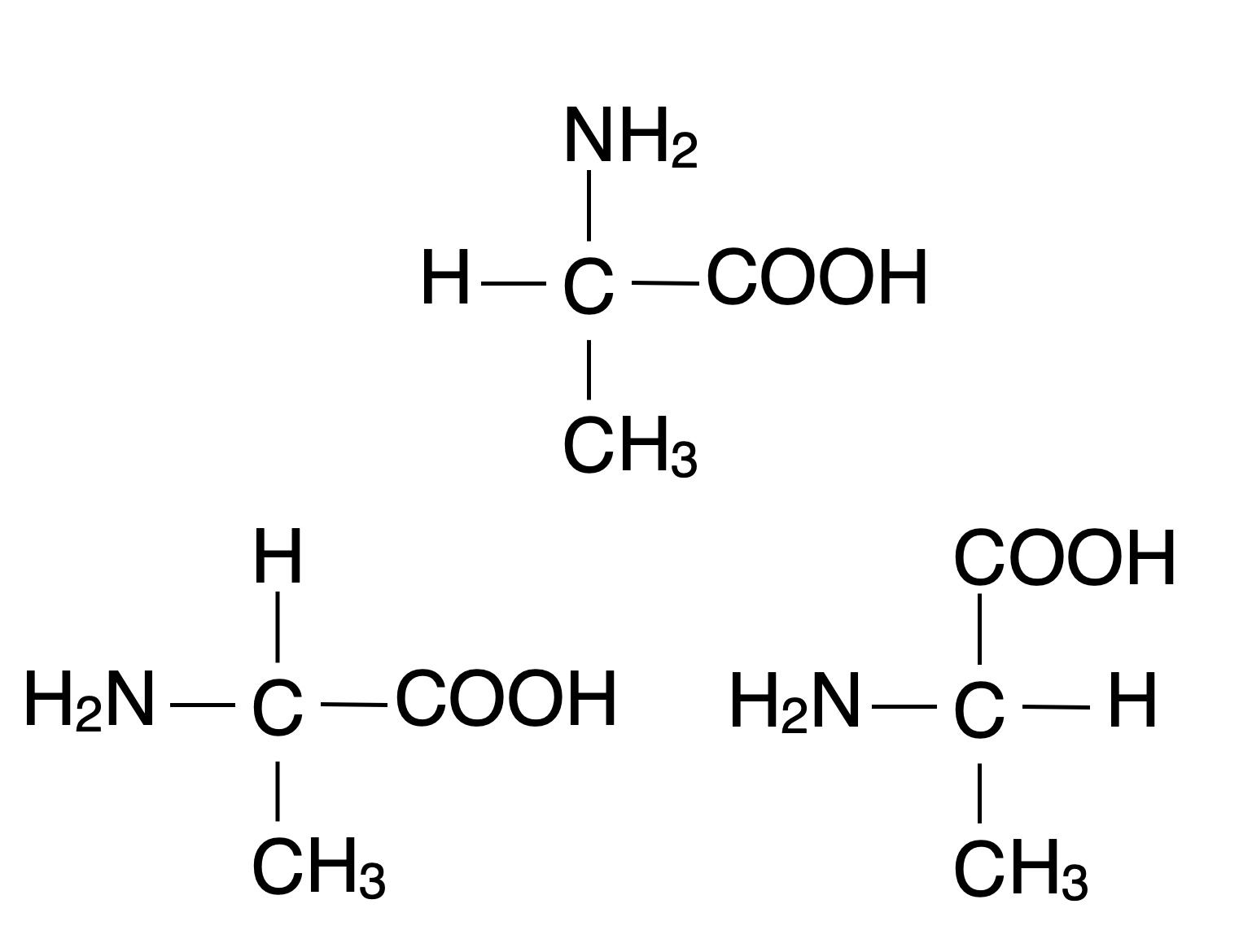
Beispiel Aminosäuren
Das Problem der eindeutigen Abbildung wird deutlich, wenn wir uns die möglichen Strukturformeln einer Verbindung wie Alanin, einer Aminosäure, anschauen:

Strukturformeln von Alanin
Autor: Ulrich Helmich 02/2024, Lizenz: Public domain
Jede dieser drei Strukturformeln ist korrekt, weil sie die Konstitution des Alanin-Moleküls richtig darstellt: Das zentrale C-Atom ist mit einer Carboxy-, einer Amino- und einer Methyl-Gruppe sowie mit einem Wasserstoff-Atom verbunden. Aber zeigen diese Strukturformeln nun das L-Alanin oder das D-Alanin? Das geht aus diesen einfachen Darstellungen nicht hervor. Mit der Fischer-Projektion dagegen kann man eindeutig sehen, um welches Enantiomer es sich handelt.

Fischer-Projektion einer Aminosäure
Autor: Ulrich Helmich 02/2024, Lizenz: Public domain
Die Fischer-Projektion von Verbindungen mit nur einem chiralen Zentrum ist recht einfach. Zunächst zeichnet man ein Kreuz, der Mittelpunkt dieses Kreuzes repräsentiert das chirale C-Atom. Die senkrechte Linie stellt die längste Kohlenstoffkette des Moleküls dar. Bei einer Aminosäure wie Alanin besteht diese Kette aus drei C-Atomen. Daher werden die COOH-Gruppe und die CH3-Seitenkette bzw. der Rest R an der senkrechten Linie untergebracht. Der Substituent mit der höchsten Priorität steht dabei immer oben, in diesem Fall also die COOH-Gruppe.
Die beiden anderen Substituenten des zentralen C-Atoms werden an der waagerechten Linie untergebracht. Dazu muss man sich die dreidimensionale Struktur des Moleküls vor Augen halten. Der Substituent mit der höheren Priorität, bei Aminosäuren immer die Amino-Gruppe, befindet sich bei der D-Form rechts, bei der L-Form links.
Nicht nur bei Aminosäuren spielt die Fischer-Projektion eine große Rolle, auch bei anderen Verbindungen ist sie sehr hilfreich, vor allem bei den verschiedenen Kohlenhydraten.
Beispiel Kohlenhydrate
Betrachten wir das Glucose- und das Fructose-Molekül in seinen Kettenformen einmal als Fischer-Projektion:

Glucose und Fructose in der Kettenform (Fischer-Projektion)
Autor: Ulrich Helmich 2021, Lizenz: Public domain
Die längste durchgehende C-Kette bildet die senkrechte Achse, hier besteht die Kette aus sechs Kohlenstoff-Atomen. Das am stärksten oxidierte C-Atom wird oben angeordnet, hier also das C-Atom 1 der Aldehyd-Gruppe bzw. das C-Atom 2 der Keto-Gruppe. Die C-Atome 1 und 6 sind keine Chiralitätszentren, daher ist es hier egal, in welcher Orientierung wir die einzelnen Atome der CHO- bzw. CH2-OH-Gruppen einzeichnen.
Quellen:
- RÖMPP Chemie-Lexikon, 9. Auflage, Band 1 (1989), S. 41.