5.1 Pyridin ist ein Aromat
Pyridin ist einer der bekanntesten Vertreter der sechsgliedrigen aromatischen Heterocyclen; hier noch einmal das Bild von der Vorseite mit Pyridin und Pyroll:

Pyridin und Pyrrol nach dem Orbitalmodell
Autor: Ulrich Helmich 12/2023, Lizenz: Public domain
Wieso Pyridin ein Aromat ist, hatten wir bereits auf der vorherigen Seite geklärt. Auf dieser Seite wollen wir uns mit zwei anderen wichtigen Aspekten beschäftigen, nämlich der Synthese von Pyridin und vor allem den Reaktionen des Pyridins.
5.2 Herstellung von Pyridin
Zwar kommt Pyridin im Steinkohlenteer vor, allerdings nur zu einem winzigen Prozentsatz (0,!%), und die Gewinnung der Verbindung aus dem Teer ist recht aufwändig und teuer. Daher wird heute das meiste Pyridin synthetisch hergestellt.
In der Industrie sind vor allem zwei Syntheseverfahren verbreitet:
- Die Tschitschibabin-Synthese aus Ethanal, Methanal und Ammoniak
- Die Bönnemann-Synthese aus Ethin und Cyanwasserstoff
Diese zwei Synthesen werden in Einzelheiten auf der Lexikon-Seite zum Pyridin besprochen.
Auf dieser Wikipedia-Seite werden weitere Verfahren zur Gewinnung und Darstellung von Pyridin genannt, nämlich die Dealkylierung von Alkylpyridinen, die Hantzsch-Synthese sowie die Biosynthese des Pyridinrings.
5.3 Reaktionen des Pyridins
5.3.1 Elektrophile Substitution
Pyridin kann sowohl elektrophile wie auch nucleophile Substitutionen eingehen. Die Nitrierung mit KNO3/H2SO4 bei 300 ºC führt zu 3-Nitropyridin als Hauptprodukt, die Sulfonierung mit H2SO4 bei 350 ºC zu 3-Pyridinsulfonsäure. Auch die Halogenierung gelingt, ebenfalls mit dem 3-Halogenpyridin als Hauptprodukt. Friedel-Crafts-Alkylierungen und -Acylierungen dagegen finden nicht statt.
3-Nitropyridin, 3-Pyridinsulfonsäure und die Reaktion von 2-Brompyridin zu 2-Aminopyridin
Autor: Ulrich Helmich 01/2024, Lizenz: Public domain
Allgemein ist Pyridin weniger reaktionsfreudig gegenüber Elektrophilen, da das N-Atom die Elektronendichte im Pyridinring reduziert. Während bei Pyrrol der Stickstoff sein freies Elektronenpaar dem aromatischen System zur Verfügung stellt, beteiligt sich das N-Atom im Pyridin nur mit einem Elektron an dem aromatischen System. Das freie Elektronenpaar ist nach außen gerichtet und macht das Pyridin-Molekül zu einer Lewis-Base.
Pyridin ist eine Base
Wenn sich ein Proton an das freie Elektronenpaar des N-Atoms anlagert, entsteht ein sehr stabiles Pyridinium-Ion. Da dieses Ion positiv geladen ist, werden keine Elektrophile mehr angezogen.
Diese Basen-Eigenschaft hat Auswirkungen auf elektrophile Reaktionen. Betrachten wir als Beispiel einmal die Nitrierung. Man kann Benzol nitrieren, indem man es einer Mischung aus konzentrierter Schwefelsäure und Salpetersäure aussetzt, die als Nitriersäure bekannt ist. Wenn man dasselbe mit Pyridin versucht, setzen sich die Protonen der Säuren sofort an das freie Elektronenpaar des Stickstoffatoms, und es entsteht ein positives Pyridinium-Ion.
Allgemein kann man sagen, alle elektrophilen Substutionen, bei denen im ersten Schritt Protonen zur Aktivierung eingesetzt werden, funktionieren bei Pyridin nicht, weil sich diese Protonen an das freie Elektronenpaar des Stickstoff-Atoms setzen und das Pyridin zu einem positiv geladenen Ion machen, das keine Elektrophile mehr anzieht. Daher sind auch Friedel-Crafts-Alkylierungen oder -Acyclierungen , bei denen zunächst Protonen eingesetzt werden, mit Pyridin nicht möglich.
Orientierung bei der SE von Pyridin
Vergleichen wir einmal die verschiedenen sigma-Komplexe, die bei der Anlagerung eines Elektrophils beim Pyridin auftreten können:

Grenzstrukturen verschiedener Pyridin-sigma-Komplexe
Autor: Ulrich Helmich 01/2024, Lizenz: Public domain
Beim Angriff eines Elektrophils in 2- oder 4-Stellung gibt es Grenzstrukturen mit einem positiv geladenem N-Atom. Bei einem Angriff in 3-Stellung gibt es zwar mehrere Grenzstrukturen, aber keine Grenzstruktur mit einem positiv geladenen N-Atom. Aus diesem Grund wird die 3-Stellung (meta-Stellung) bei der elektrophilen Substitution bevorzugt.
5.3.2 Elektrophile Substitution an Pyridin-Derivaten
Das N-Atom im Pyridin vermindert die Elektronendichte im Ring und macht das Molekül damit weniger reaktiv, was die elektrophile Substitution angeht. Man kann die Elektronendichte allerdings durch elektronenspendende Substituenten wieder erhöhen, und dadurch den Pyridinring angreifbarer für Elektrophile machen.

Nitrierung eines aktivierten Pyridins
Autor: Ulrich Helmich 12/2023, Lizenz: Public domain
Für Mediziner
Die hier gezeigte Reaktion ist der erste Schritt in der Herstellung des Schmerzmittels Flupirtin. Die gesamte Synthese sieht so aus:
Die Flurpirtin-Synthese
Nuklear, CC BY-SA 4.0, via Wikimedia Commons
Flurpirtin wirkt schmerzlindernd, indem es bestimmte K+-Kanäle öffnet. Dadurch wird die Bildung von Aktionspotenzialen schmerzleitender Nervenzellen gehemmt. Einzelheiten dazu siehe DocCheck Flexikon.
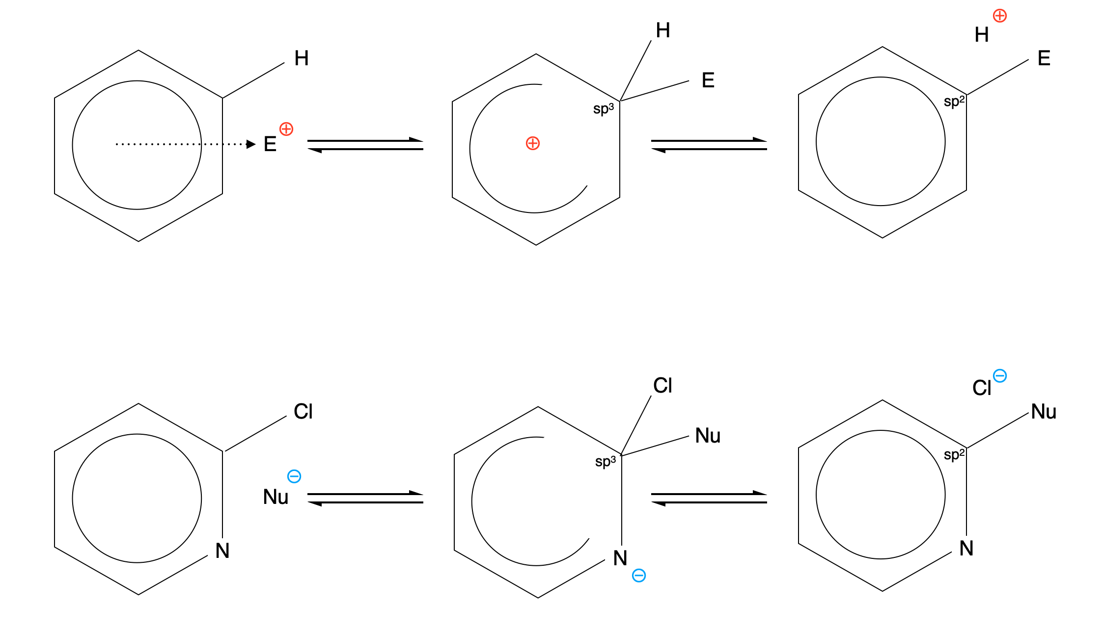
5.3.3 Nucleophile Substitution
Die nucleophile aromatische Substitution verläuft im Prinzip nach dem gleichen Mechanismus wie die elektrophile aromatische Substitution. Vergleichen wir einmal die beiden Mechanismen:

Aromatische SE und SN im Vergleich
Autor: Ulrich Helmich 12/2023, Lizenz: Public domain
Die hier gezeigte aromatische nucleophile Substitution ist nicht direkt mit dem bekannten SN1- oder SN2-Mechanismus zu vergleichen, sondern eher mit dem Mechanismus der aromatischen elektrophilen Substitution.
Bei der elektrophilen aromatischen Substitution (obere Reihe) bildet sich zunächst ein π-Komplex, der sich schnell in einen nicht-aromatischen σ-Komplex umwandelt.
Bei der nucleophilen aromatischen Substitution wird das C-Atom mit dem Nucleofug (hier ein Cl-Atom) direkt vom Nucleophil angegriffen, ein π-Komplex bildet sich (in der Regel) nicht.
Genau wie bei der SE wird auch bei der SN die sp2-Hybridisierung des angegriffenen C-Atoms aufgehoben, damit ist das Molekül nicht mehr aromatisch.
Bei der SE erfolgt die Wiederherstellung des aromatischen Zustands durch Abspaltung eines Protons, bei der SN wird dagegen das Nucleofug abgespalten, das als Substituent an dem aromatischen Ring saß.
Mit der SN1 oder SN2 ist diese nucleophile Substitution nicht zu vergleichen, allein wegen der Umhybridisierung und Aufhebung des aromatischen Zustands nicht. Es entsteht auch kein Carbenium-Ion als Zwischenstufe (SN1), und das Nucleofug wird auch nicht direkt von dem Nucleophil verdrängt (SN2), sondern es bildet sich ein σ-Komplex als Zwischenprodukt, in dem Nucleofug und Nucleophil beide mit dem C-Atom kovalent verknüpft sind.
5.4 Pyridin als Katalysator
Im Schulunterricht haben Sie wahrscheinlich die Bromierung von Toluol besprochen, vielleicht sogar selbst durchgeführt. Bei dieser Reaktion wird Eisen als Katalysator verwendet. Mit dem Brom bildet das Eisen zunächst Eisenbromid FeBr3, das dann als Lewis-Säure mit der Lewis-Base Br2 einen Br-Br-FeBr3-Komplex bildet. Das "äußere" Eisen-Atom ist dann positiv polarisiert und kann einen pi-Komplex mit dem Benzol bilden. Bei der Bildung des sigma-Komplexes wird das Eisen-Atom als Fe+-Kation heterolytisch abgespalten, und zurück bleibt ein FeBr4--Komplex.
Pyridin kann eine vergleichbare Rolle bei der Bromierung von Aromaten spielen. Wie das genau geht, zeigt die folgende Abbildung.
- Ein Br2-Molekül kommt in die Nähe eines Pyridin-Moleküls
- Das freie Elektronenpaar des N-Atoms macht aus dem unpolaren Br2-Molekül einen temporären Dipol (induzierter Dipol).
- Das Br2-Molekül trennt sich heterolytisch in ein Br-Anion und ein Br-Kation. Das Br-Kation schiebt sich mit seinem leeren Orbital in das doppelt besetzte Orbital des N-Atoms. Es entsteht ein N-Brom-Pyridinium-Kation mit einer kovalenten N-Br-Bindung und einer delokalisierten positiven Ladung.
- Dieses N-Brom-Pyridinium-Kation kann nun Benzol als Elektrophil angreifen, und zwar mit dem Brom-Atom. Es findet nun eine "normale" elektrophile Substitution statt (mit pi- und sigma-Komplex, die hier nicht eingezeichnet sind), und es entsteht Brom-Benzol. Das Pyridin-Molekül wird wieder freigesetzt und kann eine neue "Runde" starten.
Pyridin wirkt hier wie ein Katalysator, taucht also in der Gesamtgleichnung nicht auf. Ein einziges Pyridin-Molekül kann viele hundert solcher Zyklen durchlaufen. Daher reicht schon eine kleine Menge Pyridin aus, um Brom mit Benzol reagieren zu lassen.
Quellen:
- VollhardT, Schore: Organische Chemie. 6. Auflage, Weinheim 2020.
- Morrison, Boyd, Bhattacharjee: Organic Chemistry. 7. Auflage, Dorling Kindersley 2011.
- J. Clayden, N. Greeves, S. Warren: Organische Chemie. Berlin 2013.
- Buddrus, Schmidt, Grundlagen der Organischen Chemie, 5. Auflage, De Gruyter-Verlag 2014.
Seitenanfang -
Weiter mit Pyrrol ...