Home > Biologie > Cytologie > Chemische Grundlagen > Kohlenhydrate > Polysaccharide

Amylose

Stärke - Amylose - Amylopektin - Glycogen - Cellulose - weitere

Eigenschaften

Stärke besteht zu ca. 20 bis 30% aus Amylose und zu 70 - 80% aus Amylopektin. Amylose besteht aus ungefähr 200 bis 1000 α-Glucose-Bausteinen [1], die über α-1,4-glykosidische Bindungen miteinander verknüpft sind.

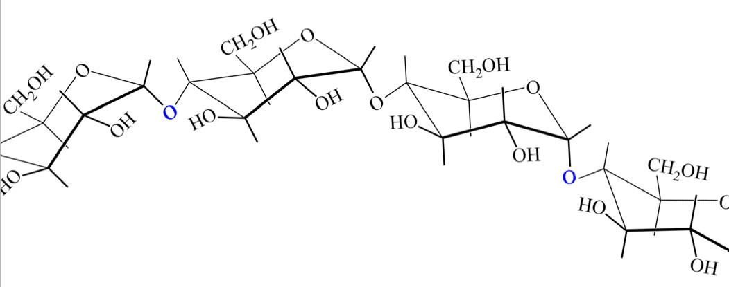
Beschreibung siehe folgenden Text

Alpha-glycosidische Bindung im Amylose-Molekül

Autor: Ulrich Helmich, Lizenz: Public domain

Das heißt, dass jeweils das C4-Atom des einen Glucose-Moleküls mit dem C1-Atom des nächsten Glucose-Moleküls verbunden ist, und zwar über ein Sauerstoff-Atom.

Die Amylosekette ist schraubenförmig spiralisiert, nach neueren Daten besteht eine Windung aus 6 bis 7 Glucose-Bausteinen. Der berühmte Stärke-Nachweis mit Iod-Lösung beruht darauf, dass die kleinen I2-Moleküle in den Hohlraum eingelagert werden können, der durch die Spiralisierung entstanden ist.

An sich ist Amylose so gut wie nicht wasserlöslich, mit heißem Wasser bildet sich jedoch eine kolloidale Suspension.

Beschreibung siehe folgenden Text

kleiner Ausschnitt aus einem Amylose-Molekül

Autor: Ulrich Helmich, Lizenz: Public domain

Bedeutung

Biologie

Amylose spielt eine wichtige Rolle als Reservestoff für die Pflanzen. Zwar kann Amylopektin leichter wieder mobilisiert (abgebaut) werden, aber aufgrund seiner nicht-verzweigten Struktur nimmt Amylose weniger Platz ein als Amylopektin. Daher speichert die Pflanze ihren Kohlenhydrat-Vorrat nicht ausschließlich in Form von Amylopektin, sondern zu 20 bis 30 Prozent in Form von Amylose.

Ernährungslehre

Amylose ist ein wichtiger - ich zitiere jetzt aus der englischen Wikipedia (die deutsche gibt leider nicht viel her) - "thickener, water binder, emulsion stabilizer, and gelling agent in both industrial and food-based contexts".

Amylose ist ein spiralförmiges Molekül und hat einen hydrophoben Innenraum, in den Fette, aromatische Verbindungen und andere Stoffe eingelagert werden können. Vermischt man Amylose mit Wasser, entsteht ein klebriges Gel; Amylose kann auf der Außenseite der Spirale wegen der vielen OH-Gruppen gut Wasser-Moleküle binden. Das macht man sich auch bei der Nahrungszubereitung zu Nutze, wenn man beispielsweise Soßen mit Stärke andickt.

Amylose (Wikipedia)

Viele weitere Details zur Amylose finden Sie in dem Wikipedia-Artikel.

Quellen:

  1. Kadereit , Körner, Nick, Sonnewald: Strasburger - Lehrbuch der Pflanzenwissenschaften, 38. Auflage, Springer Berlin Heidelberg 2021.s