Bacteriochlorophyll ist eine nur bei bestimmten photosynthetisch aktiven Bakterien vorkommende Art des Chlorophylls.
Struktur

Bacteriochlorophyll a
Autor: Ulrich Helmich 2024, Lizenz: Public domain.
Wenn man sich das Molekül genauer anschaut, stellt man fest, dass es sich kaum von dem pflanzlichen Chlorophyll a unterscheidet. In der Tat, Bacteriochlorophyll wird während seiner Biosynthese aus Chlorophyll a hergestellt.
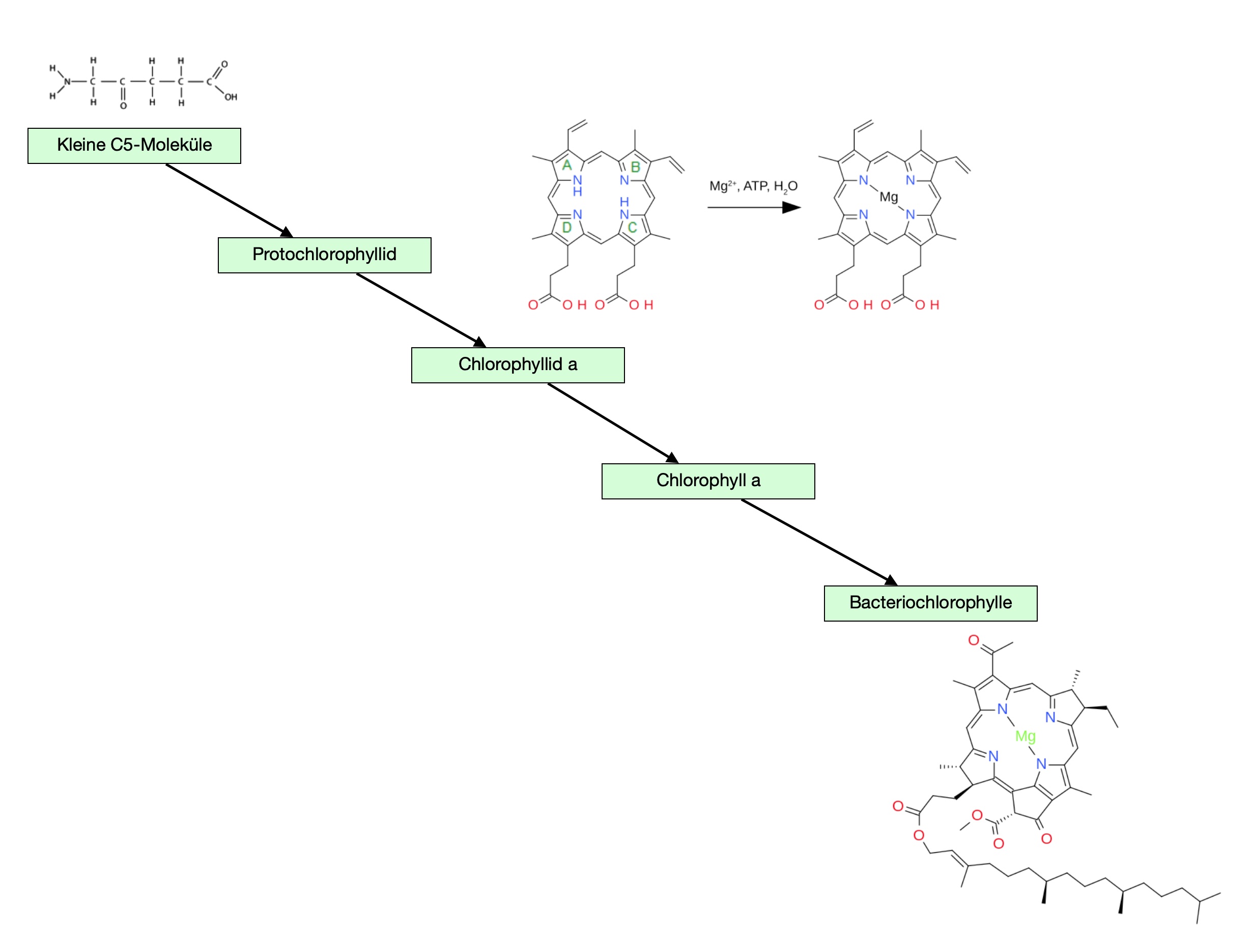
Biosynthese

Biosynthese von Bacteriochlorophyll a
Autor: Ulrich Helmich 2024, Strukturformeln aus der engl. Wikipedia, Lizenz: Public domain.
Auf die einzelnen Syntheseschritte wollen wir hier nicht näher eingehen, aber zwei wichtige Schlüsselstellen in der Synthesekette sind
1. Der Einbau des Magnesium-Atoms in den Porphin-Ring
2. Das Anhängen der langen Phytol-Kette
Bei der Umwandlung von Chlorophyll a in Bacteriochlorophyll werden nur noch minimale Änderungen vorgenommen.
Absorptionsmaxima
Es gibt sieben unterschiedliche Arten dieses Pigments, die sich leicht in ihrer Struktur und in ihrem Absorptionsmaximum unterscheiden. Eine genaue Auflistung finden Sie in dem Artikel "Bacteriochlorophyll" in der engl. Wikipedia.
Interessant dabei ist, dass die Absorptionsmaxima weitgehen im Infratrot- und Dunkelrot-Bereich liegen. Das Bacteriochlorophyll a hat beispielsweise ein Absorptionsmaximum bei 805 nm und ein zweites, breiteres Maximum im Bereich zwischen 830 und 890 nm.
Das Bacteriochlorophyll b kann sogar Infrarot im Bereich 1020-1040 nm absorbieren.
Die anderen Bacteriochlorophyll-Varianten absorbieren alle im Bereich über 700 nm, lediglich das Bacteriochlorophyll g der Heliobakterien hat ein Maximum im Bereich 670 nm, aber dann wieder ein zweites Maximum bei 788 nm.
Evolutionsbiologische Überlegungen
Zu der Frage, warum die Bacteriochlorophylle hauptsächlich im Infrarot- und Dunkelrotbereich absorbieren, findet sich in der engl. Wikipedia leider kein Hinweis.
Phylogenetisches Dilemma
Schaut man sich den Biosyntheseweg von Bacteriochlorophyll an, gerät man laut Karl J. Niklas in ein phylogenetisches Dilemma:
"The presence of bacteriochlorophylls in four anoxygenic prokaryotic clades, which differ in many other important respects, is evidence that these pigments are more ancient than chlorophyll. Curiously, however, chlorophyll a is an intermediary rather than a final step in the biosynthesis of the bacteriochlorophylls and chlorophyll b. Thus, the biosynthetic pathways of the chlorophyll-based pigments present something of a phylogenetic dilemma." [1]
In der Regel spiegel solche Syntheseketten wie die Biosynthese von Bacteriochlorophyll den evolutionsbiologischen Entwicklungsweg wieder. Man kann also davon ausgehen, dass die "Erfindung" von Chlorophyll a älter ist als die von Bacteriochlorophyll, denn schließlich ist Chlorophyll a die unmittelbare Vorstufe von Bacteriochlorophyll. Das widerspricht aber der Tatsache, dass Chlorophyll a hauptsächlich bei höheren Eukaryoten vorkommt (Grünalgen, Landpflanzen), während Bacteriochlorophyll bei den älteren Prokaryoten zu finden ist. Und genau das ist das phylogenetische Dilemma, das Niklas anspricht.
Interessante Hypothese
Eine interessante Hypothese zur Lösung dieses Dilemmas wurde 1995 von Nisbet, Cann und van Dover vorgeschlagen.
Die ersten Prokaryoten lebten nach dieser Hypothese im Meer, und zwar in der unmittelbaren Nähe von heißen Quellen wie zum Beispiel den sogenannten Weißen Rauchern.

Ein weißer Raucher
NOAA, Public domain, via Wikimedia Commons
In der Nähe solcher Raucher gibt es jede Menge Nährstoffe für die Bakterien, es ist also kein Wunder, dass sich die Organismen dort gerne ansiedeln - schön warm ist es da ja auch noch.
Nun muss man solche heißen Quellen aber erst einmal finden, und dafür benötigt man Thermorezeptoren. Die Hypothese ist nun, dass das Bacteriochlorophyll ein solcher Thermolrezeptor ist. Bei der Besprechung der Absorptionsmaxima haben wir ja schon gesehen, dass die meisten Varianten des Bacteriochlorophylls im Infrarot-Bereich ein Absorptionsmaxiumum haben. Nach dieser Hypothese wurde das Bacteriochlorophyll also nicht entwickelt, um Photosynthese zu betreiben, sondern um heiße Quellen im sonst kalten Meer zu lokalisieren. Das Chlorophyll a war dabei nur eine notwendige Vorstufe für Bacteriochlorophyll, die sonst aber keinen Nutzen hatte.
Erst später in der Evolution wurde das Bacteriochlorophyll dann dazu genutzt, Infrarot und Dunkelrot zu absorbieren und chemisch zu verwerten, um einfache Photosynthesen durchzuführen, die noch keinen Sauerstoff freisetzten. Wasserstoff H2 und Schwefelwasserstoff H2S haben deutlich negativere Redoxpotenziale als Wasser H2O, können somit leichter photolytisch gespalten werden, um an den wertvollen Wasserstoff zu kommen, der dann mit Hilfe von Transportproteinen (wie FAD, NAD+ oder NADP+) für Biosynthesen genutzt werden kann (Reduktion von CO2 zu organischen Verbindungen wie Glucose).
Als dann später einige Prokaryoten die oberen Wasserschichten "eroberten", in denen auch Licht mit kürzeren Wellenlängen vorkam, konnte das ohnehin schon vorhandene Chlorophyll a zur Licht-Absorption eingesetzt werden. Das Bacteriochlorophyll wurde dann nicht mehr benötigt.
"...infrared phototaxis could preadapt an organism for optional infrared photosynthesis based on bacteriochlorophyll and, still later, the development of chlorophyll to use visible light." [1]
Quellen:
- Niklas, Plant Evolution, Chicago, London 2016
- engl. Wikipedia, Artikel "Bacteriochlorophyll".