Helmichs Biologie-Lexikon

Coenzym A

Ein wichtiges und bekanntes Coenzym, das beim Stoffwechsel eine entscheidende Rolle spielt, vor allem bei der aeroben Dissimilation (Glycolyse und Citratzyklus) und beim Fettstoffwechsel.

Funktion

Coenzym A (kurz: CoA oder auch CoA-SH) gehört lt. Lexikon der Biochemie (Spektrum-Verlag) zu den Gruppenübertragungscoenzymen. Das Coenzym-A überträgt als Acetyl-CoA eine Acetyl-Gruppe auf andere Moleküle. Das wohl bekannteste Beispiel ist die Übertragung einer Acyl-Gruppe auf Oxalacetat im Citratzyklus, wobei Citrat entsteht:

Übertragung eines Acetyl-Restes auf Oxalacetat durch Acetyl-CoA.
Autor: Ulrich Helmich, Lizenz: Public domain

Das Coenzym A kann aber nicht nur Acetyl-Reste (also Derivate der Essigsäure) übertragen, sondern allgemein Alkansäuren und deren Derivate.

Struktur

"CoA besteht aus Adenosin-3',5'-diphosphat, das über das 5'-Phosphat mit dem Phosphat von Pantothein-4'-phosphat verbunden ist." (Lexikon der Biochemie)

Kugel-Stäbchen-Modell von Coenzym A aus der Wikipedia

Kugel-Stäbchen-Modell von Coenzym A.
Quelle: Wikipedia, Autor: Benjah-bmm27, Lizenz: public domain

Strukturformel von Coenzym A (Wikipedia)

Strukturformel von Coenzym A.
Quelle: Wikipedia, Autor: NEUROtiker , Lizenz: public domain

In der Strukturformeln von Coenzym A tauchen mehrere "alte Bekannte" auf. Bei (1) sehen wir beispielsweise ein Adenosin-Molekül, das am C-Atom 3 phosphoryliert ist. Bei (2) befinden sich zwei Phosphatgruppen. Der "rechte" Teil des Coenzyms ähnelt also auffallend dem ADP-Molekül (Adenosindiphosphat). Die Abschnitte (3) und (4) ähneln mit ihren Aminogruppen und Carboxygruppen manchen Aminosäuren, und der letzte Abschnitt enthält am Ende eine SH-Gruppe, also eine OH-Gruppe, deren O-Atom durch ein S-Atom ausgetauscht wurde (Schwefel steht in der gleichen Hauptgruppe wie Sauerstoff, dahe ist die SH-Gruppe eng mit der OH-Gruppe verwandt). Diese SH-Gruppe spielt beim Binden der zu übertragenden Säure eine entscheidende Rolle: Das H-Atom wird abgespalten, und die Säure wird an das S-Atom gebunden. Es entsteht ein sogenannter Thioester.

Ernährungslehre: Vitamin B5

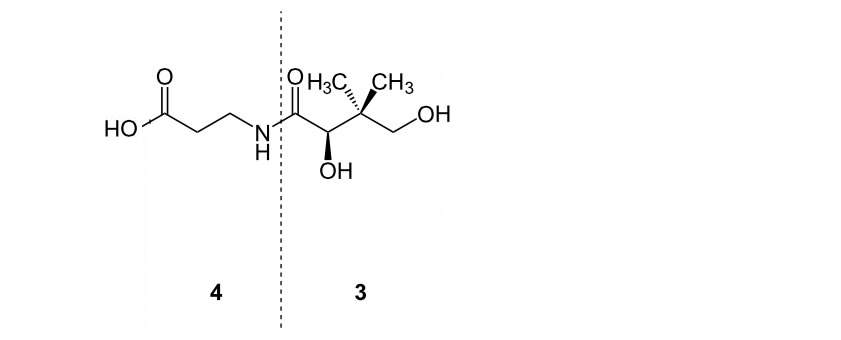
Die Abschnitte 3 und 4 von Coenzym A werden zusammen auch als Pantothensäure bezeichnet, die in der Ernährungslehre als Vitamin B5 bezeichnet wird.

Strukturformel der Pantothensäure (Wikipedia)

Strukturformel von Pantothensäure.
Quelle: Wikipedia, Autor: NEUROtiker , verändert von U. Helmich 10/2023, Lizenz: public domain

Pantothensäure ist notwendig für die Bildung von Coenzym A im Körper und muss mit der Nahrung aufgenommen werden, daher wird diese Verbindung auch als "Vitamin" bezeichnet. Ein alternativer Weg ist die Synthese von Pantothensäure aus dem Provitamin Dexpanthenol (Provitamin B5, Panthenol).

Strukturformel der Pantothensäure (Wikipedia)

Strukturformel von Dexpanthenol.
Quelle: Wikipedia, Autor: NEUROtiker , verändert von U. Helmich 10/2023, Lizenz: public domain

Das Dexpanthenol wird als Provitamin bezeichnet, weil es mit der Nahrung aufgenommen und dann im Körper zu einem "echten" Vitamin umgewandelt wird.