Einordnung
Sphingomyeline sind Sphingo-Phospholipide und gehören somit zu den Phospholipiden. Die Sphingomyeline sind die bekanntesten und am weitesten im tierischen Körper verbreiteten Sphingo-Phospholipide.
Sphingo-Phospholipide sind eine Untergruppe der Phospholipide
Autor: Ulrich Helmich 2017, Lizenz: Public domain.
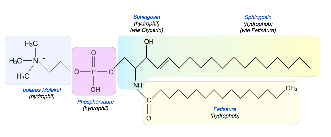
Bei einem Sphingomyelin ist die Phosphorsäure mit dem Alkohol Cholin verestert. Als Fettsäure findet sich meistens die gesättigte Lignocerinsäure (24:0) oder die einfach ungesättigte Nervonsäure (24:1Δ15). In der grauen Hirnsubstanz ist auch Stearinsäure (18:0) weit verbreitet.

Ein Sphingomyelin-Molekül
Autor: Ulrich Helmich 2017, Lizenz: Public domain.
Sphingomyeline sind typische Membranlipide, am häufigsten kommen sie in den Zellmembranen von Nervenzellen und in deren Myelinscheiden vor. Sie machen beim Menschen ca. 85% aller Sphingolipide und 10 bis 20% aller Membranlipide aus.
Sphingomyeline kommen auch in den sogenannten Lipid-Rafts vor, das sind Mikrodomänen innerhalb einer Biomembran, die wie Eisberge in der Lipid-Doppelschicht herumschwimmen.