
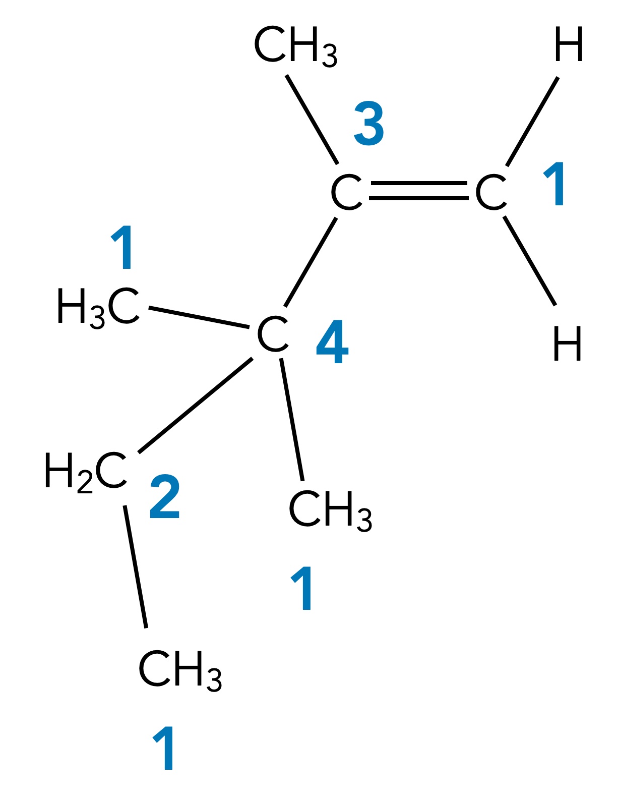
1, 2, 3, 4 = primäre, sekundäre, tertiäre und quartäre C-Atome
Autor: Ulrich Helmich 08/2024, Lizenz: Publid domain.
- Primäre Kohlenstoff-Atome sind mit genau einem anderen Kohlenstoff-Atom verbunden. Bei Alkanen sind immer die außenständigen C-Atome primäre C-Atome. Das C-Atom des Methans ist kein primäres C-Atom, denn es ist mit keinem einzigen anderen C-Atom verbunden.
- Sekundäre Kohlenstoff-Atome sind mit genau zwei anderen Kohlenstoff-Atomen verbunden. Bei unverzweigten Alkanen sind die inneren C-Atome stets sekundäre C-Atome.
- Tertiäre C-Atome kommen in verzweigten Alkanen vor (und natürlich auch in anderen organischen Verbindungen). Ein tertiäres C-Atom ist stets mit drei anderen C-Atomen verbunden.
- Quartäre C-Atome kommen ebenfalls in manchen verzweigten Alkanen und anderen Verbindungen vor. Quartäre C-Atome sind mit genau vier anderen C-Atomen verbunden.
H-Atome an C-Atomen
Wasserstoff-Atome, die an einem primären C-Atom sitzen, werden als primäre H-Atome bezeichnet. Das Gleiche gilt auch für H-Atome an sekundären oder tertiären C-Atomen. An quartären C-Atomen kann kein H-Atom mehr sitzen, daher gibt es auch keine quartären H-Atome.
Stabilität, Reaktivität
Die Stabilität bzw. Reaktivität eines C-Atoms hängt u.a. von den induktiven Effekten der Nachbar-Atome ab. Wegen des positiven induktiven Effekts (+I-Effekt) von Alkyl-Gruppen haben quartäre C-Atome die höchste Elektronendichte aller C-Atome, was ihnen aber nicht viel hilft, denn an ein quartäres C-Atom kann sich weder ein Elektrophil anlagern noch kann das C-Atom ein H-Atom oder ein Nucleophil abstrahieren.
Bei tertiären C-Atomen macht sich dieser Effekt aber bemerkbar. Wenn ein solches C-Atom ein H-Atom oder eine Atomgruppe abspaltet, bildet sich - je nach Reaktion - ein Radikal mit einer nur einfach besetzten Kugelwolke oder gar ein Carbenium-Ion mit einer leeren Kugelwolke. Durch den +I-Effekt der drei benachbarten Alkylgruppen wird dieser Elektronen-Verlust aber zum Teil kompensiert, was das Radikal oder das Carbenium-Ion stabiler macht. Daher bilden sich solche tertiären Radikale oder Kationen bedeutend leichter und schneller als sekundäre (mit nur zwei Alkyl-Gruppen) oder gar primäre (mit nur einer benachbarten Alkyl-Gruppe).
Ein berühmter Schulbuchversuch demonstriert die unterschiedliche Stabilität bzw. Reaktivität von primären, sekundären und tertiären C-Atomen. Drei verschiedene Brom-Butane werden mit Lauge versetzt. Die Brom-Atome werden dann durch OH-Gruppen substituiert (ersetzt). Besonders schnell geht das beim tertiären Brom-Butan, dem 2-Brom-2-methyl-propan. Beim sekundären 2-Brom-butan dauert die Reaktion schon länger, und das primäre 1-Brom-butan reagiert nur noch ganz gemächlich.