Synthese
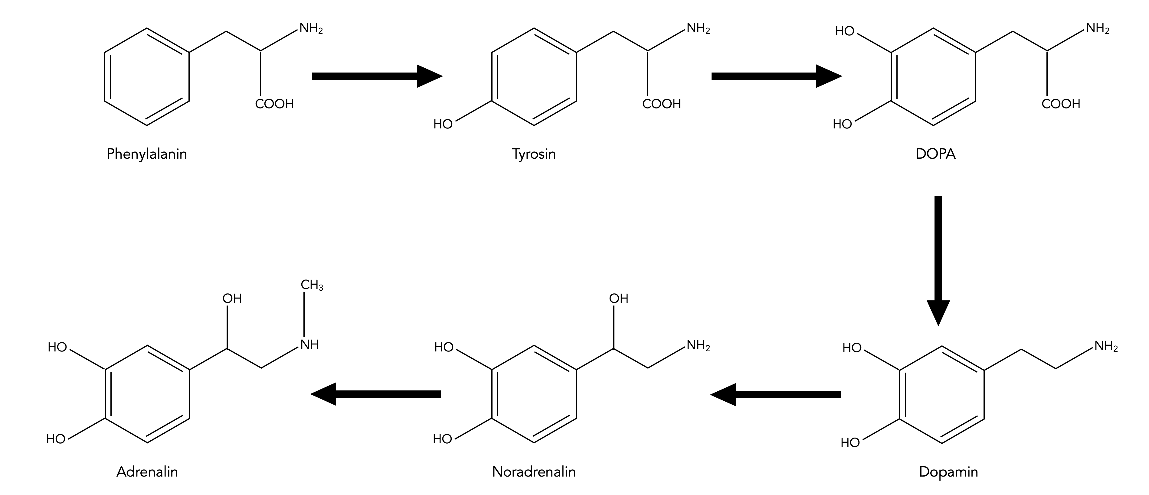
Der zu den Katecholaminen gehörende Neurotransmitter Noradrenalin wird im menschlichen Körper aus den Aminosäuren Phenylalanin oder Tyrosin hergestellt, und zwar im Nebennierenmark, in den Nervenzellen des Sympathikus sowie in bestimmten Nervenzellen des Gehirns [1].

Bildung von Noradrenalin und Adrenalin aus Phenylalanin
Autor: Ulrich Helmich 10/2023, Lizenz: Public domain
Der Begriff "DOPA" steht für die Verbindung 3,4-Dihydroxyphenylalanin.
Der letzte Syntheseschritt der Noradrenalin-Bildung ist interessant, weil hier das Vitamin C eine besondere Rolle spielt. Das sehen wir uns auf dem nächsten Bild näher an:

Noradrenalin-Synthese aus Dopamin mit Hilfe von Ascorbinsäure
Autor: Ulrich Helmich 10/2023, Lizenz: Public domain
Das Enzym Dopamin-β-Hydroxylase (DBH) katalysiert die Bildung von Noradrenalin aus Dopamin, dabei werden Ascorbinsäure und Sauerstoff benötigt, und es entstehen Dehydroascorbinsäure und Wasser als Nebenprodukte. Außerdem wird Kupfer als Cofaktor benötigt.
Noradrenalin besitzt gegenüber der Vorstufe Dopamin eine zusätzliche OH-Gruppe. Das dazu erforderliche O-Atom entstammt dem Sauerstoff O2. Das zweite O-Atom des O2-Moleküls wird dann zur Bildung von Wasser H2O verwendet. Die beiden dafür erforderlichen H-Atome werden von der Ascorbinsäure zur Verfügung gestellt; an den Summenformeln sieht man gut, dass die Ascorbinsäure C6H8O6 genau zwei H-Atome abgibt und zu C6H6O6 oxidiert wird.
Im Grunde spielt die Ascorbinsäure hier die Rolle eines Coenzyms, vergleichbar mit FADH2 oder NADH/H+, nämlich als Wasserstoff-Spender.
Adrenalin
Adrenalin entsteht aus Noradrenalin, indem das Enzym N-Methyl-Transferase eine CH3-Gruppe auf das N-Atom überträgt. Da die Vorstufe Noradrenalin Vitamin C-abhängig ist, ist auch die Synthese des Folgeproduktes Adrenalin abhängig von dem Vitamin C als Cofaktor.
Funktion
Neben seiner Wirkung als Blutdruck steigerndes Hormon ("Angsthormon", "Fluchthormon") ist Noradrenalin vor allem ein Neurotransmitter im Zentralnervensystem und im sympathischen Nervensystem. Die Arbeitsweise des Neurotransmitters entspricht dem üblichen Schema: Ausschüttung durch synaptische Vesikel und Öffnen von Natriumkanälen in der postsynaptischen Membran. Die "Entsorgung" geschieht durch Wiederaufnahme des Neurotransmitters in die präsynaptische Zelle über einen speziellen Transporter. Alternativ kann Noradrenalin aber auch enzymatisch im synaptischen Spalt abgebaut werden.
Quellen:
- Bear, Connors, Paradiso: Neurowissenschaften, Springer-Verlag 2018
- DocCheck Flexikon, Artikel "Noradrenalin".
- Engl. Wikipedia, Artikel "Norepinephrine"