Inhaltliche Schwerpunkte
Auf dieser Seite werden folgende inhaltliche Schwerpunkte* berücksichtigt:
-
funktionelle Gruppen verschiedener Stoffklassen und ihre Nachweise:
Hydroxy-Gruppe,Carbonyl-Gruppe, Carboxy-Gruppeund Ester-Gruppe - Eigenschaften ausgewählter Stoffklassen:
Löslichkeit,Schmelztemperatur, Siedetemperatur
*nach dem Kernlehrplan des Landes NRW 2022
Alkansäuren
Die Essigsäure (Ethansäure) ist der wohl bekannteste Vertreter der Stoffklasse der Carbonsäuren. Es gibt aber noch eine einfachere Carbonsäure, die ebenfalls recht bekannt ist, nämlich die Ameisensäure. Da die Ameisensäure vom Methan abgeleitet ist, wird sie auch als Methansäure bezeichnet.
Ameisensäure

Braunschwarze Rossameise (Camponotus ligniperda)
Richard Bartz, Munich Makro Freak, CC BY-SA 2.5, via Wikimedia Commons
Die Methansäure hat ihren Trivialnamen "Ameisensäure" daher, dass sie von Ameisen als Abwehrstoff produziert wird. Aber nicht nur Ameisen produzieren Methansäure, sondern auch Quallen und andere Tiere.
Gäbe es keine Ameisen auf der Erde, würde man die Methansäure wahrscheinlich "Quallensäure" nennen.
Einzelheiten zur Methansäure finden Sie auf der Seite "Methansäure" im Chemie-Lexikon auf dieser Homepage.
Buttersäure
Eine ebenfalls recht bekannte Carbonsäure ist die vom Butan abgeleitete Buttersäure, die wissenschaftlich korrekt als Butansäure bezeichnet wird. Wie der Name schon andeutet, kommt Buttersäure vor allem in Butter vor, allerdings nicht in reiner Form, sondern als Bestandteil des Butterfetts.
Beim Ranzigwerden von Butter wird die in dem Butterfett enthaltende Buttersäure allerdings freigesetzt, und das führt zu dem üblen Geruch ranziger Butter. Auch im menschlichen Schweiß ist Buttersäure enthalten, was den Schweißgeruch auch nicht gerade angenehm macht.
Die homologe Reihe der Alkansäuren
Unter dem Begriff "Alkansäure" versteht man eine Carbonsäure, die von einem Alkan abgeleitet wurde. Die einfachste Alkansäure ist die Methansäure (Ameisensäure) mit der abgekürzten Strukturformel H-COOH, gefolgt von der Ethansäure (Essigsäure) CH3-COOH, der Propansäure (Propionsäure) C2H5-COOH und der Butansäure (Buttersäure) C3H7-COOH.
Der wissenschaftliche Name einer Alkansäure setzt sich also aus dem Alkan zusammen, von dem die Säure abgeleitet ist, und der Endung -säure. Die nächsten Glieder der homologen Reihe der Alkansäuren sind also die Pentansäure C4H9-COOH, die Hexansäure C5H11-COOH, die Heptansäure C6H13-COOH und so weiter.
Fettsäuren
Eine besondere Rolle spielen die sogenannten Fettsäuren. Das sind Alkansäuren mit vier oder mehr C-Atomen und einer geraden Anzahl von C-Atomen. Hier eine kleine Übersicht:

Einige gesättigte Fettsäuren
Die Trivialnamen der Fettsäuren beziehen sich meistens auf die Herkunft der Verbindungen. Buttersäure kommt in der Butter vor, Capron-, Capryl- und Caprinsäure in der Milch von Ziegen, Palmitinsäure in Ölen der Palme und so weiter.

Das Stearinsäure-Molekül
Autor: Ulrich Helmich 08/2024, Lizenz: Public domain
Hier sehen wir ein Molekülmodell der Stearinsäure, einer sehr verbreitet vorkommenden Fettsäure mit 18 C-Atomen.
Mehr zum Thema "Fettsäuren" wird Ihnen im auf Seite 6 dieses Kaptitels über Carbonsäuren vermittelt.
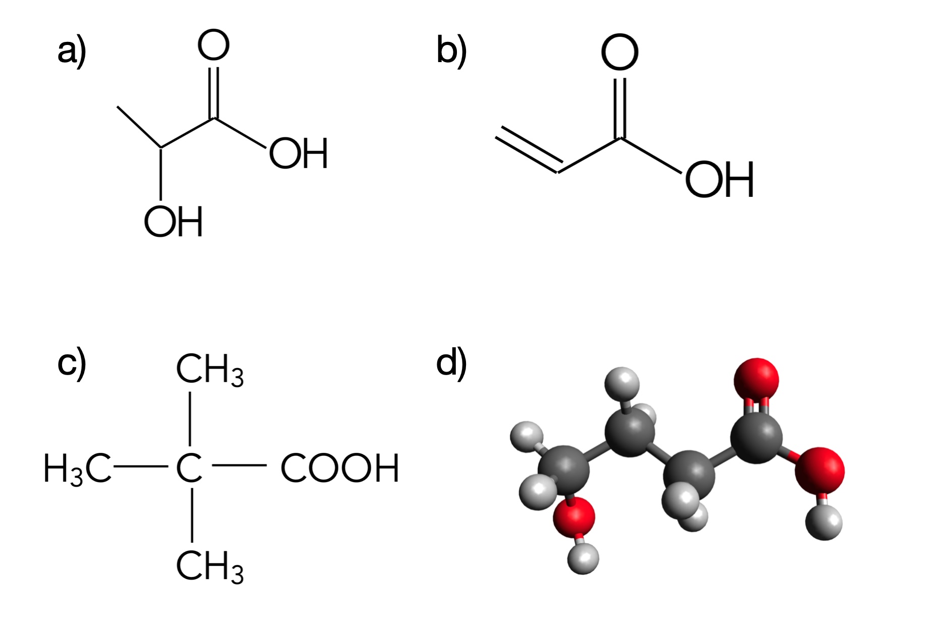
Aufgabe 1
Das folgende Bild zeigt vier verschiedene Carbonsäuren, die etwas komplexer aufgebaut sind als die einfachen Alkansäuren. Schlagen Sie sinnvolle Namen für diese vier Verbindungen vor.

Vier Carbonsäuren
Autor: Ulrich Helmich 02/2025, Lizenz: Public domain
Eine Lösung dazu finden Sie auf dieser Seite.