Für den Fall, dass beide Komponenten Ac (Säure) und Ac- (Salz) einer Pufferlösung die gleiche Konzentration haben, also für c(Ac-) = c(HAc), gilt:

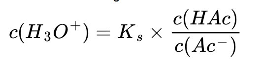
Falls die beiden Komponenten der Pufferlösung jedoch eine unterschiedliche Konzentration haben, muss man den pH-Wert der Pufferlösung berechnen. Dazu geht man wieder von der Gleichung

aus. Um den pH-Wert zu berechnen, stellt man diese Gleichung zunächst einmal um:

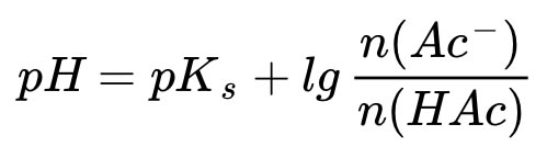
Durch Logarithmieren beider Seiten erhält man aus der obigen Gleichung die folgende Gleichung, die auch als HENDERSON-HASSELBALCH-Gleichung berühmt geworden ist:

Weil ja nun sowohl die Säure HAc wie auch die korrespondierende Base Ac- in der gleichen Pufferlösung und somit dem gleichen Volumen vorkommen, kann man statt der Konzentrationen auch die Stoffmengen in die Gleichung einsetzen und erhält dann:

Mit dieser Form der Henderson-Hasselbalch-Gleichung kann man nun den pH-Wert einer beliebigen Pufferlösung leicht berechnen.