Addition von X- und H2O an Alkene
Halogenhydrine sind organische Verbindungen, die gleichzeitig ein Halogen-Atom und am direkt benachbarten C-Atom eine Hydroxygruppe als Substituenten besitzen (beta-halogenierte Alkohole).
Lässt man die Bromierung von Ethen in einem wässrigen Lösemittel ablaufen, erhält man ein einfaches Halogenhydrin (3a):

Bildung eines einfachen Halogenhydrins durch Konkurrenzreaktion
Autor: Ulrich Helmich 2022, Lizenz: Public domain
Auf dieser Seite wird die Halogenierung von Alkenen am Beispiel der Bromierung ausführlich besprochen.
Gehen Sie auf diese Seite, um etwas über die Grundlagen der Wasser-Addition an Alkene zu erfahren.
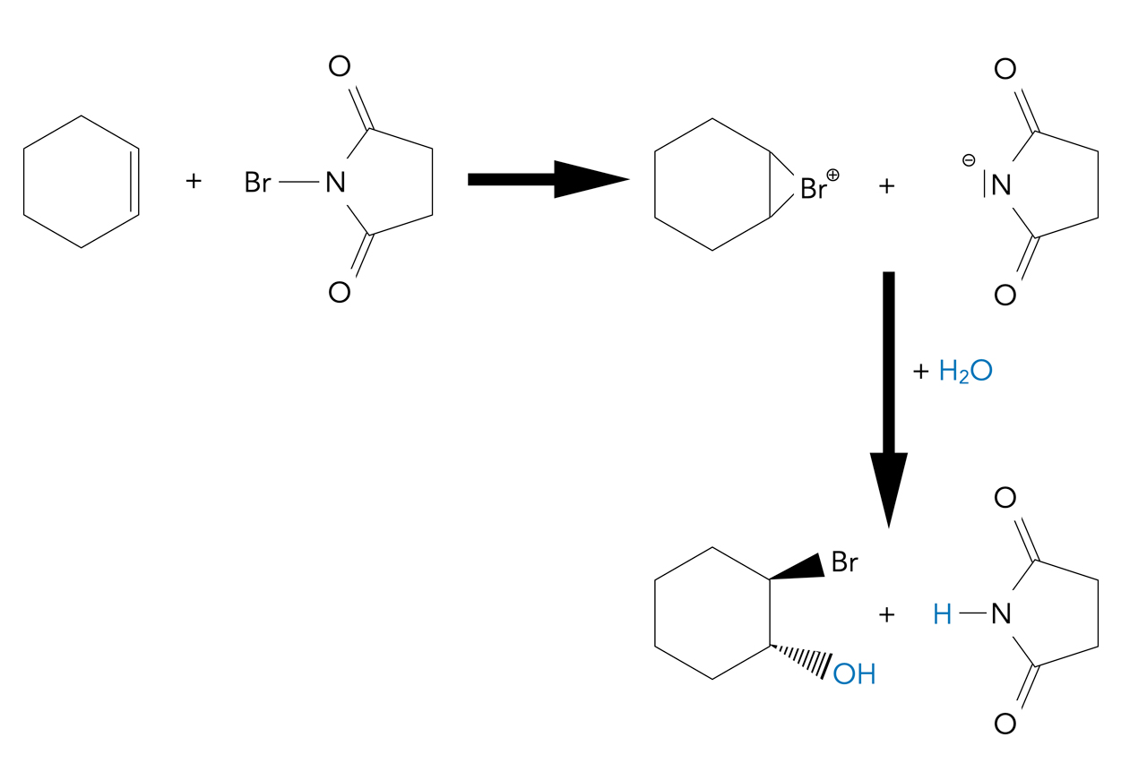
Wesentlich selektiver ist allerdings der Einsatz spezieller organischer halogenhaltiger Reagenzien wie beispielsweise N-Bromsuccinimid:

Bromsuccinimid als Bromierungsmittel
Autor: Ulrich Helmich 2022, Lizenz: Public domain
Das Bromsuccinimid kann leicht ein Brom-Kation abspalten. Dieses bildet dann mit dem Alken ein Bromonium-Ion. Wasser greift das Bromonium-Ion dann SN2-artig von der Rückseite her an. Das Ergebnis dieser anti-Addition ist ein trans-Produkt.
Quellen und weiterführende Bücher und Artikel, die über allgemeines Schulbuchwissen hinausgehen:
- M. A. Fox, J. K. Whitesell: Organische Chemie - Grundlagen, Mechanismen, bioorganische Anwendungen. 1. Auflage, Heidelberg 1995.
- K. P. C. Vollhard, N.E. Schore: Organische Chemie. 6. Auflage, Weinheim 2020.
- J. Clayden, N. Greeves, S. Warren: Organische Chemie. Berlin 2013.
- R. T. Morrison, R. N. Boyd, S. K. Bhattacharjee: Organic Chemistry. 7. Auflage, Dorling Kindersley 2011.
- Reinhard Brückner, Reaktionsmechanismen, 3. Auflage, Springer-Verlag 2014.
- Organikum, 22. Auflage, Weinheim 2004.
- J. Falbe, M. Regitz (Herausgeber): Römpp Chemie Lexikon in 6 Bänden. 9. Auflage, Stuttgart, New York 1989-1992.
- Dyker-Vorlesung "Organische Chemie 1", Folge 32 (auf Tib AV - Portal verfügbar).