Bei biochemischen Reaktionen in der Zelle spielen Transportmoleküle eine wichtige Rolle, um Atome oder Atomgruppen von einem Substrat A auf ein anderes Substrat B zu übertragen.
Nicht gemeint mit "Transportmolekülen" sind in diesem Artikel die Poren-, Kanal- oder Carrierproteine in der Membran der Zelle oder der Zellorganellen. In diesem Artikel verstehen wir unter diesem Begriff kleinere Moleküle, die in der Regel frei im Plasma beweglich sind und an einer Stelle X mit einer Atomgruppe beladen werden, die sie dann an ein Substrat abgeben, meistens durch ein Enzym katalysiert. Die aus dem Schulunterricht wohl bekanntesten Transportmoleküle wind ATP, NADH, NADPH, FADH2 und Acetyl-Coenzym A. Es gibt aber noch weitere Transportmoleküle, auf die hier kurz eingegangen werden soll, zum Beispiel für den Transport von Carboxyl-Gruppen, Methyl-Gruppen, Glucose- oder Mannose-Molekülen.
1. ATP
Das Adenosintriphosphat hat zwei Funktionen in der Zelle.
1. Durch Abspaltung der endständigen Phosphatgruppe
ATP → ADP + Pi
wird ein recht hoher Energiebetrag freigesetzt, der endotherme bzw. endergonische Reaktionen antreiben kann.
2. ATP dient auch als Transportmolekül für eine Phosphatgruppe. Im ersten Schritt der Glycolyse beispielsweise wird eine Phosphatgruppe vom ATP auf ein Glucose-Molekül übertragen, um dieses quasi zu aktivieren:
Glucose + ATP → Glucose-6-phosphat + ADP.
2. NADH
3. NADPH
4. FADH2
Diese drei Verbindungen, NADH = Nicotinamid-Adenin-Dinucleotid, NADPH = Nicotinamid-Adenin-Dinucleotid-Phosphat und FADH2 = Flavin-Adenin-Dinucleotid, übertragen sogenannte Reduktionsäquivalente. NADH und NADPH sind für die Übertragung von zwei Elektronen und einem Proton zuständig, FADH2 kann zwei Elektronen und zwei Protonen auf ein zu reduzierendes Substrat übertragen.
5. Acetyl-Coenzym A
Das Coenzym A überträgt eine Acetyl-Gruppe von einer Verbindung A auf eine Verbindung B. Unter einer Acetyl-Gruppe versteht man eine Carbonyl-Gruppe, die mit einer Methyl-Gruppe verknüpft ist, also quasi ein Essigsäure-Molekül ohne OH-Gruppe.

Übertragung eines Acetyl-Restes auf Oxalacetat durch Acetyl-CoA.
Autor: Ulrich Helmich, Lizenz: siehe Seitenende
Die -CO-CH3-Gruppe ist über ein Schwefel-Atom an das Coenzym A geknüpft. In der obigen Abbildung ist die Acetyl-Gruppe blau gekennzeichnet.
6. Carboxyliertes Biotin
Biotin, auch bekannt als Vitamin B7, überträgt eine Carboxy-Gruppe -COOH oder -COO- von einem Substrat A auf ein Substrat B.

Die Carboxylierung von Pyruvat zu Beginn der Gluconeogenese
Autor: Ulrich Helmich 2022, Lizenz: Public domain
Hier sehen wir die Übertragung eines Carboxylat-Ions -COO- von Pyruvat, dem Endprodukt der Glycolyse, auf Oxalacetat, dem Ausgangsstoff des Citratzyklus. Die für diese endotherme erforderliche Energie wird übrigens durch die Spaltung von ATP freigesetzt.
7. S-Adenosyl-Methionin

Das S-Adenosyl-Methionin-Molekül
Quelle: Wikipedia, Lizenz: Public domain
Dieses Bild zeigt das S-Adenosyl-Methionin-Molekül. Dieses Coenzym überträgt eine Methyl-Gruppe (blau hervorgehoben). Interessant ist, dass die zu übertragene Gruppe ähnlich wie beim Coenzym A an ein Schwefel-Atom gebunden ist.
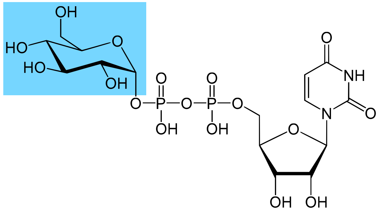
8. Uridin-Diphosphat-Glucose

Das UDP-Glucose-Molekül
Quelle: Wikipedia, Lizenz: Public domain
Dieses Bild zeigt ein UDP-Glucose-Molekül. Die zu übertragene Glucose ist blau gekennzeichnet. UDP-Glucose wird auch als aktivierte Glucose bezeichnet.
Die UDP-Glucose wird als "Baustein" bei der Biosynthese von Glycogen eingesetzt.
Unter Freisetzung von UDP wird dabei an einen bereits vorhandene Glycogen-Kette ein Glucose-Molekül angehängt.
9. Guanosin-Diphosphat-Mannose
Die GDP-Mannose (Guanosin-Diphosphat-Mannose) ist ein ähnlich wie UDP-Glucose aufgebautes Transportmolekül. Allerdings wird nicht das Monosaccharid Glucose transportiert, sondern das isomere Monosaccharid Mannose.
Quellen:
- Zrzavý, Jan; Burda, Hynek; Storch, David; Begall, Sabine; Mihulka, Stanislav. Evolution (German Edition) (S.26). Springer Berlin Heidelberg. Kindle-Version.
- Wikipedia, Artikel "Teleologie"