Home > Chemie > Versuche > Organische Chemie > Dibenzalpropanon-Synthese

Dibenzalpropanon-Synthese

Versuch:
Synthese von Dibenzalpropanon

Diese schöne Versuchsanleitung habe ich irgendwo im Internet gefunden und schon mehrfach im Unterricht ausprobiert. Bei ca. 50% der Versuche funktioniert alles, bei 50% ist das Ergebnis leider nicht so schön.

Durchführung
  1. 1 ml Aceton in ein Reagenzglas geben,
  2. 2 ml Benzaldehyd dazu geben,
  3. 5 ml Ethanol dazugeben
  4. 1 ml 11%ige NaOH-Lösung dazugeben,
  5. Reagenzglas kräftig schütteln.
  6. Reagenzglasinhalt über dem Brenner zum Sieden bringen, bis eine Gelbfärbung zu sehen ist.
  7. Reagenzglas 5 min an der Luft abkühlen lassen,
  8. danach das Reagenzglas in ein Becherglas mit kaltem Wasser stellen.
Beobachtungen

Während des Siedens färbt sich der Reagenzglasinhalt gelb. Während des Kühlens kann man die Bildung hellgelber, tafelförmiger Kristalle beobachten. In einigen Fällen beobachtet man allerdings auch nur die Entstehung einer braunen Soße, dann ist der Versuch leider etwas daneben gegangen.

Deutung

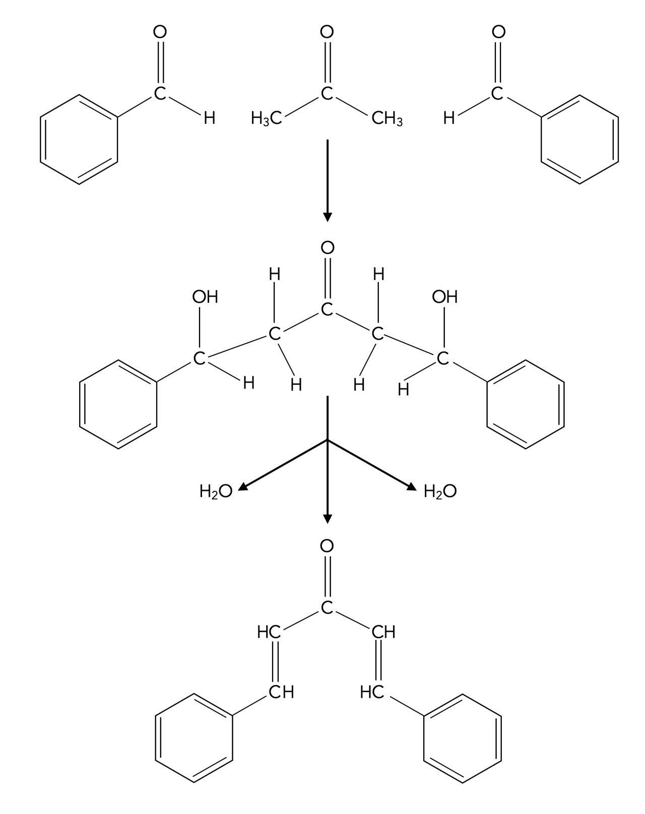
Es handelt sich um eine äußerst interessante Reaktion, bei der ein Molekül Aceton mit zwei Molekülen Benzaldehyd reagiert:

Herstellung von Dibenzalpropanon, einfache Darstellung
Autor: Ulrich Helmich 2022, Lizenz: Public domain.

Dies ist die Reaktion zu Dibenzalpropanon in Kurzform.

Erklärungen:

Dieser Versuch wird besprochen auf folgenden Seiten: