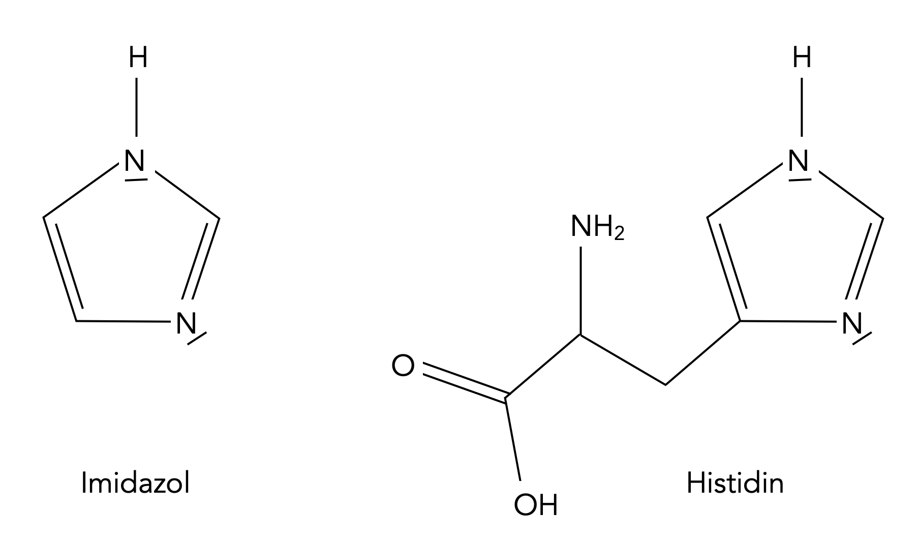
Struktur

Imidazol und Histidin
Autor: Ulrich Helmich 12/2023, Lizenz: CC BY-NC-SA 4.0
Links im Bild sehen wir die Strukturformel von Imidazol, rechts die Strukturformel der Aminosäure Histidin, in der Imidazol als Baustein der Seitenkette enthalten ist.
Imidazol ist aromatisch, weil das freie Elektronenpaar des einen N-Atoms mit zu den π-Elektronen gehört, deren Anzahl somit 6 beträgt und die Hückel-Regel (4n+2) befolgt.
Biologisch/medizinische Bedeutung
Imidazol ist Bestandteil der Aminosäure Histidin.
Auf Warmblüter wirkt Imidazol toxisch, allerdings erst in relativ hohen Dosen. Der LD50-Wert beträgt bei Mäusen 880 mg/kg Körpergewicht.
Imidazol wird für die Synthese verschiedener Medikamente eingesetzt, vor allem für bestimmte Fungizide.
Ein medizinisch wichtiges Imidazol-Derivat ist das Kreatinin, ein harnpflichtiges Stoffwechselprodukt des Menschen, das ein wichtiger Messwert bei der Beurteilung der Nierenfunktion ist.
Technische Bedeutung
In der Wikipedia sind einige Verwendungszwecke für Imidazol in der chemischen Industrie und Technik aufgezählt, auf die wir hier nicht näher eingehen wollen.
Physikalische und chemische Eigenschaften
Imidazol bildet farblose Kristalle und ist gut in Wasser löslich (633 g/l). Die Dichte beträgt 1,03 g/cm3, der Schmelzpunkt liegt bei 90 ºC und der Siedepunkt bei 257 ºC (Daten aus der Wikipedia).
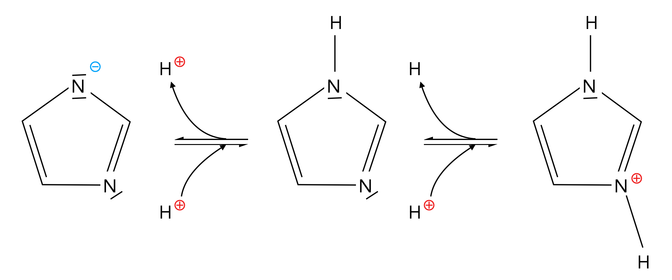
Die beiden N-Atome im Imidazol sorgen dafür, dass die Verbindung ein Ampholyt ist, sie hat also sowohl basische wie auch saure Eigenschaften.

Imidazol als Ampholyt
Autor: Ulrich Helmich, Lizenz: Public domain
Das H-Atom des einen N-Atoms kann als Proton abgegeben werden (Imidazol als Säure), und das andere N-Atom (das mit dem freien Elektronenpaar außerhalb des Ringes) kann ein Proton anlagern (Imidazol als Base).
Auf dieser Seite in der Abteilung "Chemie für Studienanfänger" finden Sie noch mehr Informationen zum Imidazol und anderen fünfgliedrigen Stickstoff-Heterocyclen.
Weitere Einzelheiten zum Imidazol finden sich in diesem Wikipedia-Artikel.