Helmichs Chemie-Lexikon

Pyridin

Eigenschaften

Pyridin ist eine farblose Flüssigkeit mit einer Dichte von 0,98 g/cm3, einem Schmelzpunkt von -41,7 ºC und einem Siedepunkt von 115,23 ºC (Daten aus der Wikipedia).

Struktur

Pyridin
Sponk, CC BY 3.0, via Wikimedia Commons

Links im Bild sehen wir die Strukturformel, rechts sind die sechs pz-Orbitale der sechs Ring-Atome zu sehen. Auch das Stickstoff-Atom ist sp2-hybridisiert, wie man auf der Zeichnung erkennen kann. Die beiden freien Elektronen des N-Atoms befinden sich nicht im pz-Orbital, sondern im freien sp2-Hybridorbital. Damit wird also die Hückel-Regel (4n+2) mit n=1 erfüllt (6 pi-Elektronen).

Pyridin und Benzol von der Seite
Autor: Ulrich Helmich 12/2023, Lizenz: CC BY-NC-SA 4.0

Hier sehen wir das Pyridin- und das Benzol-Molekül von der Seite. Beide Modelle wurden am PC mit der Software Avogadro erzeugt. So ganz planar scheint das Pyridin-Molekül nicht zu sein - aber vielleicht hat Avogadro das ja auch nicht korrekt berechnet.

Hückel-Regel

Diese wichtige Regel wurde von Erich Hückel (1896-1980) um 1930 aufgestellt. Mit dieser Regel kann man beurteilen, ob eine cyclische Verbindung mit Doppelbindungen aromatisch ist oder nicht.

Herstellung

Zwar kommt Pyridin im Steinkohlenteer vor, allerdings nur zu einem winzigen Prozentsatz (0,!%), und die Gewinnung der Verbindung aus dem Teer ist recht aufwändig und teuer. Daher wird heute das meiste Pyridin synthetisch hergestellt.

Die Tschitschibabin-Pyridinsynthese

Dies ist das älteste Verfahren, bereits 1924 von Alexei Jewgenjewitsch Tschitschibabin (1871-1945), einem russischen Chemiker, entwickelt.

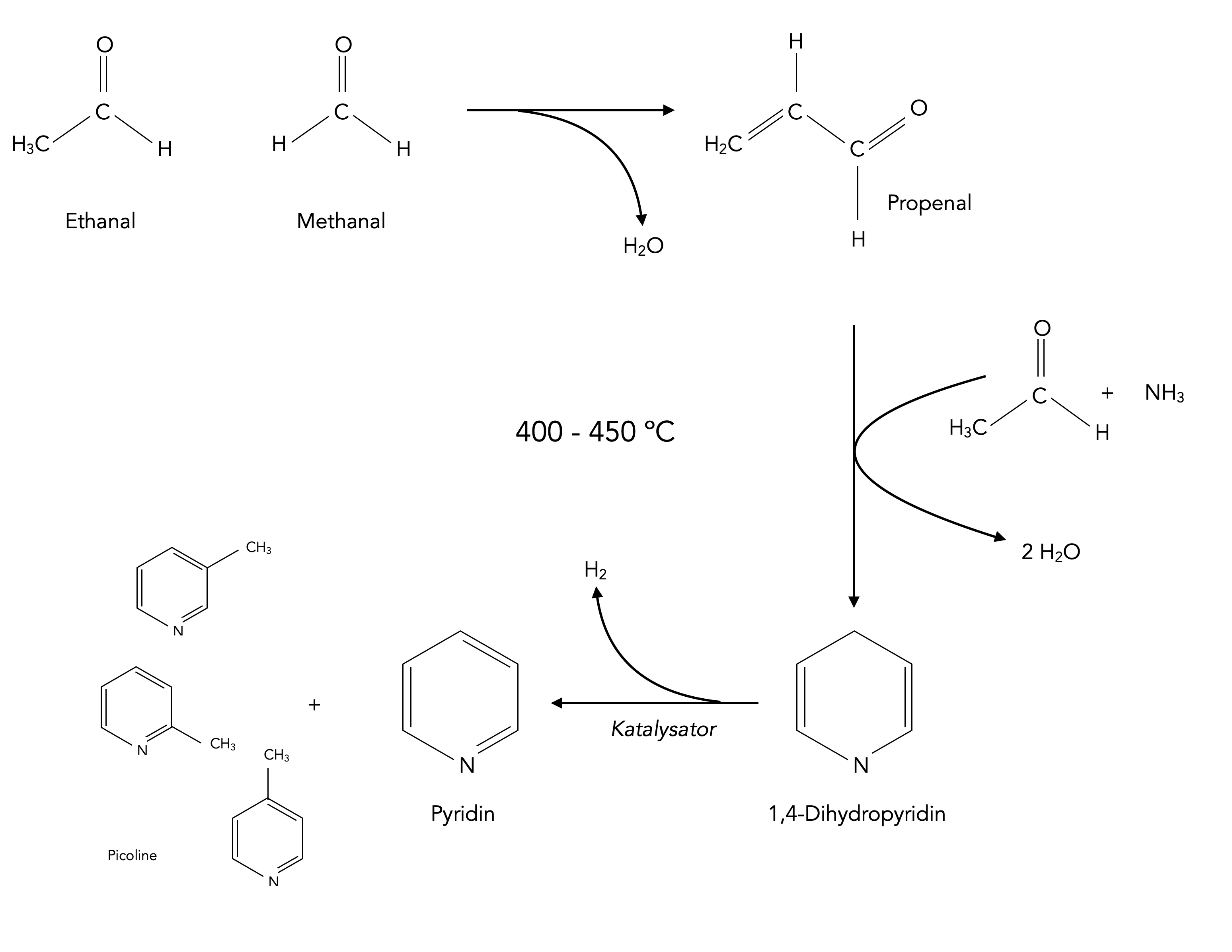
Pyridin-Synthese nach Tschitschibabin
Autor: Ulrich Helmich 12/2023, Lizenz: siehe Seitenende

Benötigt werden für diese Synthese nur sehr preiswerte Ausgangsstoffe, nämlich Formaldehyd (Methanal), Acetaldehyd (Ethanal) und Ammoniak. In einem ersten Schritt, einer Aldol-Kondensation, entsteht aus Ethanal und Methanal das Zwischenprodukt Propanal, dieses reagiert dann in einem zweiten Schritt mit weiterem Ethanal sowie Ammoniak zu Dihydropyridin. Die Dehydrierung dieses zweiten Zwischenprodukts liefert dann Pyridin und ein paar Nebenprodukte (zum Beispiel Picoline und Lutidine), die aber abgetrennt werden können.

Die Bönnemann-Cyclisierung

Ein moderneres Verfahren zur direkten Herstellung von Pyridin wurde von Helmut Bönnemann (1939-2017) entwickelt.

Die Bönnemann-Synthese von Pyridin
RoMiaEv, CC BY-SA 4.0, via Wikimedia Commons

Bei dieser Reaktion reagieren zwei Moleküle Ethin mit einem Molekül Cyanwasserstoff HCN. Hohe Drücke und Temperaturen werden hierfür nicht benötigt, die Reaktion kann unter Normalbedingungen in Wasser durchgeführt werden, wenn ein recht komplexer Katalysator eingesetzt wird, der Cobalt, Cyclopentadien und 1,5-Cyclooctadien enthält.

Reaktionen

Elektrophile Substitution

Pyridin kann sowohl elektrophile wie auch nucleophile Substitutionen eingehen. Die Nitrierung mit KNO3/H2SO4 bei 300 ºC führt zu 3-Nitropyridin als Hauptprodukt, die Sulfonierung mit H2SO4 bei 350 ºC zu 3-Pyridinsulfonsäure. Auch die Halogenierung gelingt, ebenfalls mit dem 3-Halogenpyridin als Hauptprodukt. Friedel-Crafts-Alkylierungen und -Acylierungen dagegen finden nicht statt.

Allgemein ist Pyridin weniger reaktionsfreudig gegenüber Elektrophilen, da das N-Atom die Elektronendichte im Pyridinring reduziert. Während bei Pyrrol der Stickstoff sein freies Elektronenpaar dem aromatischen System zur Verfügung stellt, beteiligt sich das N-Atom im Pyridin nur mit einem Elektron an dem aromatischen System. Das freie Elektronenpaar ist nach außen gerichtet und macht das Pyridin-Molekül zu einer Lewis-Base.

Nucleophile Substitution

Die Halogenderivate des Pyridins reagieren mit Ammoniak unter milden Bedingungen zu den Aminopyridinen. Bei dieser Reaktion handelt es sich um eine nucleophile Substitution der Halogen-Atome an Position 2.

Pyridin

Auf der Seite "Pyridin" in der Studienvorbereitung Organische Chemie finden Sie die Reaktionen des Pyridins in Einzelheiten besprochen.

Biologische Bedeutung

Pyridin hat abgesehen von seiner starken Giftigkeit keine besondere biologische oder medizinische Bedeutung. Pyridin reizt die Schleimhäute und die Haut sowie den Magen-Darm-Trakt, und es treten gelegentlich neurologische Störungen auf. Wenn man dem Pyridin länger ausgesetzt ist (chronische Exposition), können auch Störungen der Leber- und Nierenfunktion auftreten. Seit 2017 gilt Pyridin auch als "möglicherweise krebserzeugend".

Physikalische und chemische Eigenschaften

Pyridin ist eine farblose Flüssigkeit mit einer Dichte von 0,98 g/cm3, einem Schmelzpunkt von -41,7 ºC und einem Siedepunkt von 115,23 ºC (Daten aus der Wikipedia).

Chemisch relevant ist, dass das freie Elektronenpaar des Stickstoff-Atoms nicht zum aromatischen System gehört. Das hat den "Vorteil", dass sich eine Lewis-Säure an dieses N-Atom anlagern kann, ohne den aromatischen Charakter des Pyridins aufzuheben.

Bei der normalen elektrophilen Substitution lagerte sich ja das Elektrophil kovalent an eines der Ring-C-Atome an, welches dadurch sp3-hybridisiert wurde. Der aromatische Charakter wurde so kurz aufgehoben. Erst durch Abspaltung des H-Atoms wurde das C-Atom wieder sp2-hybridisiert und der aromatische Charakter zurückgebildet.

Aus diesem Grund wird ein elektrophiler Angriff auf das N-Atom begünstigt. Durch den -I-Effekt des N-Atoms ist allerdings die Elektronendichte im Ring verringert, und die C-Atome können nicht so gut elektrophil angegriffen werden wie beispielsweise im Benzol-Molekül. Friedel-Crafts-Alkylierungen oder -Acylierungen sind so gut wie nicht möglich, die Elektrophile würden das N-Atom angreifen, aber nicht die C-Atome.

Durch das elektronenziehende N-Atom ist die Elektronendichte im Ring so gering, dass sogar nucleophile Substitutionen stattfinden können. Vor allem gilt das für Pyridin-Derivate, die gute Abgangsgruppen an ihren C-Atomen tragen.

Pyridin

Weitere Einzelheiten zum Pyridin finden sich in diesem Wikipedia-Artikel.