Helmichs Biologie-Lexikon

Glycolipide

Glycolipide sind phosphatfreie Lipide [3] - vor allem auf Sphingosin-Basis [1]- die an Stelle von Phosphat mit einer oder mehreren Zuckereinheiten kovalent verbunden sind.

Die Glycolipide findet man fast nur in der Zellmembran, aber so gut wie gar nicht in den Membranen der Zellorganelle. In der Zellmembran kommen die Glycolipide nur in der Außenschicht vor, nicht in der cytoplasmatischen Lipid-Schicht. Die Zuckergruppen der Glycolipide ragen nach außen und bilden manchmal eine dicht zusammenhängende Glycokalix - bei tierischen Zellen. Bei Pflanzenzellen gibt es keine Glycokalix, statt dessen finden wir dort eine dicke Zellwand, die ebenfalls aus Zuckerbausteinen zusammengesetzt ist.

Synthese von Glycolipiden - grober Überblick

Die Lipide selbst werden wie alle Lipide im ER synthetisiert und wandern dann über ER-Vesikel zu den Zisternen des Golgi-Apparates. Dort werden die Lipide dann mit Hilfe bestimmter Enzyme glycolisiert, erhalten also ihre Zucker-Einheiten. Diese Enzyme sind im Innern der Golgi-Zisternen lokalisiert, können daher auch nur die innere Lipid-Schicht glycolisieren. Wenn sich dann Golgi-Vesikel von den Zisternen abschnüren und zur Zellmembran gelangen und mir ihr verschmelzen, zeigen die Zuckerreste automatisch nach außen [9].

Einteilung der Glycolipide

Man unterteilt drei Klassen der Glycolipide [1]:

  1. Cerebroside
  2. Globoside
  3. Ganglioside
Cerebroside

Diese Glycolipide kommen vor allem in den Myelinscheiden der Nervenzellen vor [3,4]. Cerebroside sind Sphingolipide, die ein einzelnes Monosaccharid gebunden haben.

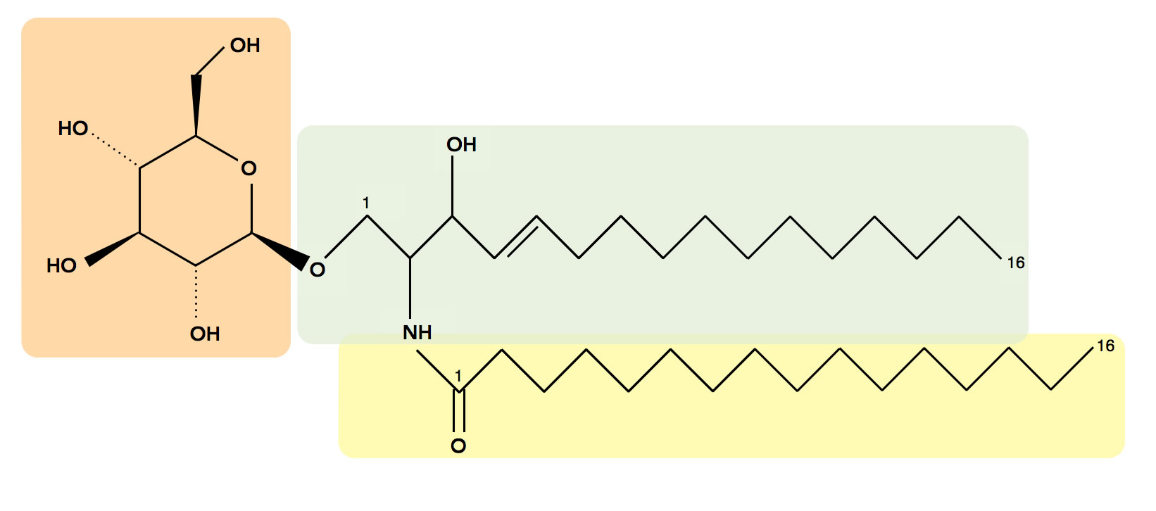
Beschreibung siehe folgenden Text

Ein Cerebrosid
Autor: Ulrich Helmich, Lizenz: siehe Seitenende

Die Abbildung 1 zeigt ein typisches Cerebrosid. An das Sphingosin-Molekül (grün unterlegt) sind eine Fettsäure (gelb) und eine beta-Glucose gebunden (orange). Eine Phosphatgruppe sucht man hier vergebens, statt dessen finden wir hier den Zucker.

Neben diesen Glucosylceramiden gibt es auch Galactosylceramide, bei denen dann Galactose gebunden ist. Die Galactosylceramide sind die wichtigsten Glycosphingolipide im Gehirngewebe und in den Myelinscheiden der Axone [4]. Glucosylceramide kommen in roten Blutkörperchen und im Nervengewebe, vor allem in den Nervenzellen selbst vor. Auch in Pflanzen und Pilzen kommen Glucosylceramide vor, während Galactosylceramide nur in Tieren vorkommen.

Globoside

Globoside sind Sphingolipide, die ein elektrisch neutrales Oligosaccharid als Kopfgruppe tragen, das ausschließlich aus Hexosen besteht, also aus Monosacchariden mit sechs C-Atomen. Im Gegensatz zu den Cerebrosiden besteht die Kopfgruppe eines Globosids aus mehr als einer Hexose. Meistens beginnt das Oligosaccharid mit dem Zuckerderivat N-Acetyl-Galactosamin. Dann folgen entweder D-Glucose oder D-Galactose als zweiter Baustein [8].

Im Gegensatz zu Gangliosiden (siehe nächsten Abschnitt) enthält das Oligosaccharid keine N-Acetyl-Neuraminsäure [7].

Ganglioside

Ganglioside sind Sphingolipide, die ein teils verzweigtes Oligosaccharid aus bis zu sieben Zucker-Bausteinen gebunden haben. Ihren Namen haben Ganglioside daher, dass sie vor allem in der Membran von Nervenzellen vorkommen ("Ganglion" = Nervenknoten). In der grauen Substanz des Gehirns machen Ganglioside sogar 6% aller Membranlipide aus [6].

Beschreibung siehe folgenden Text

Ein Gangliosid
Autor des Oligosaccharids: Edgar181, Lizenz: public domain
Autor des gesamten Gangliosids: Ulrich Helmich, Lizenz: public domain

Die in Gangliosiden vorkommenden Monosaccharide und -derivate sind im nächsten Abschnitt aufgelistet. Vor allem ist hier die Sialinsäure zu erwähnen, die in jedem Gangliosid vorkommt [5]. Bei den Gangliosiden sind stets eine oder mehrere N-Acetylneuraminsäuren vorhanden [7].

Manche Ganglioside sind auch für die menschlichen Blutgruppen verantwortlich.

Blutgruppen A, B, o

Die menschlichen Blutgruppen o, A und B werden durch bestimmte Ganglioside festgelegt.

Bildung der Blutgruppen-Antigene
Autor: Ulrich Helmich, Lizenz: siehe Seitenende

Beim Heranwachsen eines Menschen ist zunächst nur das H-Antigen vorhanden, ein Gangliosid mit fünf Zucker-Einheiten (Sphingosin - Glucose - Galactose - N-Acetyl-Glucosamin - Galactose - Fucose).

Im Laufe der Entwicklung wird dieses Pentasaccharid dann modifiziert. Trägt der Mensch ein Allel für die Blutgruppe A, so wird ein zusätzliches N-Acetyl-Glucosamin an den äußeren Galactosering angebaut, es entsteht das A-Antigen. Bei Menschen, die ein Allel für die Blutgruppe B tragen, wird stattdessen ein weiteres Galactose-Molekül angebaut, so bildet sich das B-Antigen.

Einzelheiten zum Thema "Blutgruppen des Menschen" siehe die Seite "Vererbung der Blutgruppen: AB0-System" in der Genetik-Abteilung dieser Homepage.

Quellen:

  1. Stillwell, William. An Introduction to Biological Membranes. Elsevier Science 2016.
  2. engl. Wikipedia, Artikel "Sialic acid".
  3. DocCheckFlexikon, Artikel "Glycolipid".
  4. engl. Wikipedia, Artikel "Cerebroside".
  5. Nelson, Cox. LEHNINGER Principles of Biochemistry. Macmillan Learning, New York 2021.
  6. Wikipedia, Artikel "Ganglioside".
  7. Wikipedia, Artikel "Globoside"
  8. engl. Wikipedia, Artikel "Globoside"
  9. Alberts, Bruce et al. Lehrbuch der Molekularen Zellbiologie, 5. Auflage, Weinheim 2021.