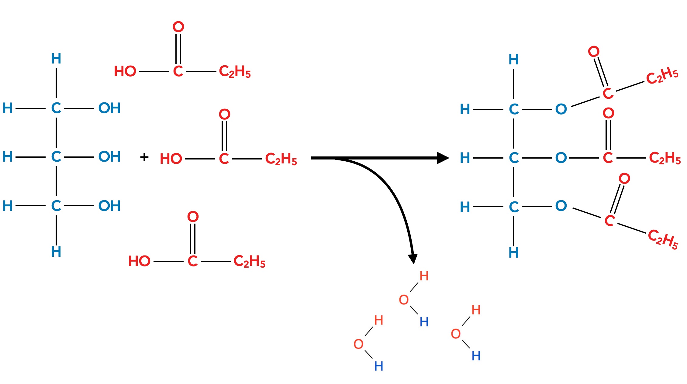
Aufgabe 1
Betrachten Sie folgende Reaktion:

Ergänzen Sie die obige Reaktionsgleichung und erläutern Sie, was bei der Reaktion passiert und was das Besondere bzw. Neue an dieser Reaktion ist.
Es läuft folgende Reaktion ab:

Das Besondere bzw. Neue an dieser Reaktion ist die Tatsache, dass der eingesetzte Alkohol drei OH-Gruppen hat. Es handelt sich bei dem dreiwertigen Alkohol um Glycerin.
Glycerin kann wegen dieser drei OH-Gruppen gleichzeitig mit drei Molekülen einer Carbonsäure - hier Propansäure - reagieren. Bei dieser Kondensation werden dann auch drei H2O-Moleküle freigesetzt.