Voraussetzungen
Diese Seite ist für Schüler(innen) gedacht, die einen Chemie-GK oder -LK absolviert haben und jetzt nach dem Abitur ein Studium der Chemie, Biochemie, Biologie, Pharmazie, Medizin oder einer verwandten Naturwissenschaft aufnehmen wollen. Die im Unterricht der gymnasialen Oberstufe vermittelten Chemiekenntnisse werden hier vorausgesetzt.
Für das Verständnis dieser Seite benötigen Sie Kenntnisse der Nomenklatur der Alkane. Falls Sie hier noch Nachholbedarf haben, klicken Sie einfach die verlinkte Seite an.
2.1 Rekapitulation: Schulwissen
Bevor wir mit dem Teil "Studienvorbereitung" beginnen, wollen wir zunächst einmal kurz das "übliche" Schulwissen rekapitulieren. Wenn Sie im Unterricht gut aufgepasst haben, können Sie den Abschnitt 2.1 natürlich auch überspringen und sofort mit der Studienvorbereitung anfangen.
Aufgabe:
Geben Sie diesem Alkan seinen richtigen Namen:

Lösung:
Die längste durchgehende C-Kette besteht aus sieben Atomen, also handelt es sich um ein Heptan. An den Positionen 2, 3, 4 und 5 - von rechts gezählt, befinden sich Alkyl-Substituenten, und zwar drei Methyl-Reste an den Positionen 2, 3 und 5 sowie ein Ethyl-Rest an Position 4. Also handelt es sich bei dem Alkan um 4-Ethyl-2,3,5-trimethyl-heptan.
Konnten Sie nachvollziehen, wie man zu diesem Namen kommen? Falls nicht, schauen Sie sich doch bitte noch einmal die Ausführungen zur Nomenklatur der Alkane auf den Seiten für den Chemieunterricht auf dieser Homepage an.
Alternativ können Sie natürlich auch einfach in Ihr altes Chemie-Buch schauen, wenn Sie es noch besitzen. Falls Sie vorhaben, Chemie oder Biologie zu studieren, sollten Sie Ihre alten Schulbücher noch eine Zeit lang aufheben, dort stehen viele Sachen drin, die man in den ersten Semestern des Studiums noch gut gebrauchen kann.
2.2 Vorbereitung auf das Medizin-Studium
In Büchern wie "Chemie für Mediziner" von A. Zeek findet sich ein recht knapper Abschnitt zur Nomenklatur der Alkane. Für diese beiden Fächer reicht es aus, wenn Sie einfache und verzweigte Alkane mit einfachen Seitenketten korrekt benennen können. Wenn im Chemieunterricht das Thema gut behandelt worden ist, sollten Sie eigentlich keine Probleme im Biologie- oder Medizin-Studium bekommen, was die Nomenklatur der Alkane angeht.
Wenn Sie mit der Aufgabe im Abschnitt 2.1 keine Probleme hatten, sollte eigentlich alles klar sein, und Sie können die nächste Seite aufrufen: Weiter mit den physikalischen Eigenschaften der Alkane...
2.3 Vorbereitung auf das Chemie-Studium
Was im Oberstufen-Unterricht normalerweise nicht behandelt wird, ist die Nomenklatur von Alkanen mit verzweigten Seitenketten.
Nach den aktuellen Nomenklatur-Regeln wird eine verzweigte Seitenkette mit einem systematischen Namen bezeichnet. Das C-Atom, mit dem die verzweigte Seitenkette an dem Grundgerüst sitzt, trägt grundsätzlich die Nummer 1.
Wenden wir diese Regel auf das folgende Alkan an:

Ein Dodecan mit zwei verzweigten Seitenketten
Autor: Ulrich Helmich 2022, Lizenz: Public domain
Die Seitenkette am C-Atom Nr. 6 der Hauptkette besteht aus vier C-Atomen, wird aber nicht als Butyl-Rest bezeichnet. Der Alkyl-Rest ist nämlich mit dem zweiten C-Atom von links mit der Hauptkette verbunden, daher wird dieses C-Atom zum C-Atom Nr. 1 "befördert". Das ursprünglich erste C-Atom (ganz links) wird damit zur Methyl-Gruppe "degradiert". Also bezeichnen wir diese Seitenkette als als 1-Methyl-propyl-Rest. Die andere Seitenkette ist dann ein 1-Methyl-ethyl-Rest.
Somit ist der Name des obigen Alkans 5-(1-Methyl-ethyl)-6-(1-Methyl-propyl)-dodecan.
Aufgabe:
Benennen Sie das folgende Alkan:

Lösung:
Die Hauptkette ist bereits markiert, es handelt sich um eine Dodecan-Kette. Wir beginnen die Zählung zunächst einmal rechts; bei Bedarf können wir das immer noch ändern.
An der Position 5 befindet sich eine Propan-Kette mit einer Methylgruppe an Position 1 und einer zweiten an Position 2. Diesen Rest müssen wir also als 1,2-Dimethyl-propyl bezeichnen.
An der Position 8 befindet sich eine weitere Propan-Kette, diesmal aber mit einer Ethylgruppe an Position 1, es handelt sich also um einen 1-Ethyl-propyl-Rest.
Der Name des Alkans wäre somit 8-(1-Ethyl-propyl)-5-(1,2-dimethyl-propyl)-dodecan.
Nun kommt aber etwas Neues, was die Reihenfolge der Substituenten betrifft. Bei einfachen Alkanen spielen Präfixe wie "Di" oder "Tri" bei der alphabetischen Einordnung ja keine Rolle, sie werden einfach ignoriert.
Bei Seitenketten wie 1,2-Dimethyl-propyl wird diese Regel allerdings außer Kraft gesetzt, diese Seitenkette beginnt tatsächlich mit dem Buchstaben "D" und nicht mit dem Buchstaben "M" und wird entsprechend eingeordnet. Der korrekte Name des Alkans ist also 5-(1,2-Dimethyl-propyl)-8-(1-ethyl-propyl)-dodecan.
Man hätte auch links anfangen können mit der Nummerierung, dann wäre der Name des Alkans 8-(1,2-Dimethyl-propyl)-5-(1-ethyl-propyl)-dodecan. Die Summe der Ziffern wäre in diesem Fall identisch gewesen mit der vorherigen Alternative. Trotzdem ist diese zweite Variante nicht so gut wie die erste.
Der Substituent, der alphabetisch zuerst kommt, sollte auch eine möglichst niedrige Ziffer bekommen. Daher ist die Variante 5-(1,2-Dimethyl-propyl)-8-(1-ethyl-propyl)-dodecan die korrekte.
2.4 Übungen
Die Lösungen dieser Aufgaben und der Aufgaben der Kapitel 2 und 3 (Cycloalkane, Alkene) können Sie gegen eine Kostenbeteiligung von 5 Euro über Paypal als PDF-Datei von mir erhalten (einfach auf den Spenden-Button klicken und als Verwendungszweck "Lösungen Organik 1-3" angeben).
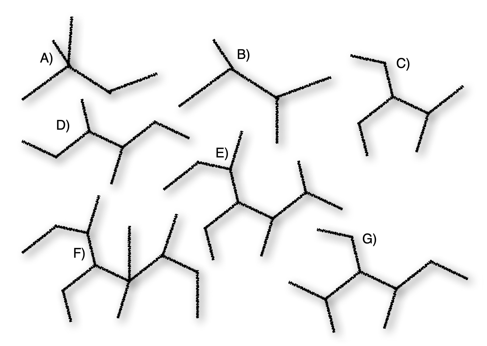
Aufgabe 2.1*
Diese Aufgabe habe ich auch immer meinen Schülern im Chemie-Unterricht der Oberstufe gestellt. Damit sollten Sie also überhaupt kein Problem haben.
Wie heißen die Alkane A) bis G) ?

Aufgabe 2.2**
Zeichnen Sie die Strukturformeln folgender Verbindungen:
a) 5-Butyl-4-ethyl-3,6-dimethyl-decan
b) 3,5,6-Trimethyl-4-(1-Methyl-propyl)-nonan
Aufgabe 2.3***/****
Wie heißen die beiden folgenden Alkane mit einer verzweigten Seitenkette?

Das zweite Alkan hat eine verzweigte Seitenkette, die ihrerseits eine verzweigte Seitenkette besitzt. Hier gibt es vielleicht mehrere sinnvolle Möglichkeiten, das Alkan zu benennen. Eine dieser Möglichkeiten finden Sie in den Lösungen. Sie müssen die Regeln für verzweigte Seitenketten einfach nochmal für die verzweigte Seitenkette anwenden, dazu müssen Sie dann eine zweite Klammernebene verwenden. Ein Alkan mit 16 C-Atomen heißt übrigens Hexadecan.
Aufgabe 2.4***
Zeichnen Sie folgende Alkane:
a) 5-(2-Ethyl-butyl)-undecan
b) 5-(1,1-Dimethyl-propyl)-nonan
Quellen und Literatur-Empfehlungen:
- VollhardT, Schore: Organische Chemie. 6. Auflage, Weinheim 2020.
- Morrison, Boyd, Bhattacharjee: Organic Chemistry. 7. Auflage, Dorling Kindersley 2011.
- J. Clayden, N. Greeves, S. Warren: Organische Chemie. Berlin 2013.
- Buddrus, Schmidt, Grundlagen der Organischen Chemie, 5. Auflage, De Gruyter-Verlag 2014.
Seitenanfang -
Weiter mit den physikalischen Eigenschaften der Alkane...