Blausäure
Die Addition von Blausäure HCN an die C=O-Gruppe ist ein wichtiger Weg, um eine neue C-C-Einfachbindung in ein Molekül einzuführen. Das ist auch der Hauptgrund dafür, dass die Cyanhydrin-Bildung (so nennt man das Reaktionsprodukt) im Unterricht der gymnasialen Oberstufe behandelt wird.
Das Reaktionsprodukt der HCN-Addition an Aceton, dasAcetoncyanhydrin, ist ein wichtiges Zwischenprodukt bei der Herstellung von Methacrylsäuremethylester, dem Monomer des Kunststoffes Plexiglas.

Addition von Blausäure an Aceton
Autor: Ulrich Helmich 04/2024, Lizenz: Public domain
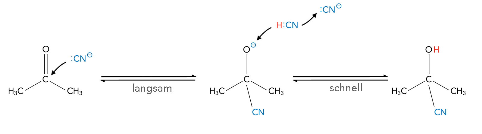
Der erste Schritt der Reaktion besteht im nucleophilen Angriff eines Cyanid-Ions. Dazu löst man Natriumcyanid NaCN in flüssiger Blausäure. Die HCN-Moleküle der Blausäure sind nicht nucleophil genug für einen Angriff, die -:CN-Ionen des Natriumcyanids dagegen können die C=O-Gruppe sehr gut angreifen, es sind starke ionische Nucleophile.
Nach einem anderern Verfahren löst man das Natriumcyanid in Schwefelsäure. Da Schwefelsäure eine stärkere Säure ist als Blausäure, wird das HCN quasi aus dem NaCN verdrängt:
$2 \ NaCN + H_2 SO_4 \rightleftharpoons Na_2 SO_4 + 2 \ HCN$
Im zweiten Schritt spaltet dann ein Blausäure-Molekül ein Proton ab, das sich an den negativen Sauerstoff des Zwischenprodukts setzt. Übrig bleibt wieder ein Cyanid-Ion, das hier quasi die Rolle eines Katalysators spielt und in der Gesamtgleichung nicht auftaucht.
Beide Teilschritt sind voll reversibel, und das Gleichgewicht der Reaktion wird durch die Verwendung von flüssiger Blausäure als Lösemittel und Edukt auf die Produktseite verschoben.
Das bei der Reaktion von Blausäure mit Aceton gewonnene Acetoncyanhydrin ist aber nicht nur ein wichtiges Zwischenprodukt bei der Plexiglassynthese, sondern kann auch als Cyanid-Spender für andere Reaktionen eingesetzt werden. Zwar verläuft die Cyanidübertragung auf ein anderes Aldehyd oder Keton langsamer als die direkte Umsetzung mit Blausäure, ist dafür aber a) wesentlich weniger gefährlicher (Blausäure ist bekanntlich ein sehr starkes Gift) und b) auch selektiver. Als Lösemittel für eine solche Cyanidübertragung kann dann das Acetoncyanhydrin selbst fungieren.
Seitenanfang -
Weiter mit der Aldolkondensation ...