Organische Reaktionsketten sind ein wichtiges Thema beim schriftlichen Chemie-Abitur in NRW. In der Abituraufgabe aus dem Jahre 2010 ging es um die Synthese des Kunststoff-Monomers Chloropren, aus dem man beispielsweise den von Neoprenanzügen für Taucher her bekannten Kunststoff Neopren herstellen kann. Neopren ist ein Markenname, der sich im Laufe der Zeit durchgesetzt hat. Er hört sich auch wirklich besser an als Chloropren-Kautschuk. Der Ausgangsstoff für die Synthese von Chloropren ist Buta-1,3-dien, welches wiederum aus Butan-1,4-diol hergestellt werden kann (zumindest im Labor). Das Butan-1,4-diol wiederum kann aus Ethin und Formaldehyd synthetisiert werden. Wir haben hier also eine wunderschöne Reaktionskette, ideal geschaffen für den Chemieunterricht in der gymnasialen Oberstufe. Aber fangen wir doch ganz von vorne an.
Schritt 1: Herstellung von 2-Propin-1-ol

Das Ethin gibt ein Proton ab, zurück bleibt ein negativ geladener HCC--Rest. Dieser lager sich nucleophil an das positiv polarisierte C-Atom des Formaldehyds an. Die negative Ladung wird auf das O-Atom übertragen, an das sich dann das zuvor abgespaltene Proton dransetzt. Es handelt sich also um eine klassische Nucleophile Addition, bei der Propargylalkohol bzw. 2-Propin-1-ol (oder einfacher: Propinol) entsteht. Propinol ist der einfachste Vertreter der Alkinole.
Schritt 2: Herstellung von 2-Butin-1,4-diol

Die gleiche Reaktion findet quasi noch einmal statt. Diesmal spaltet sich das andere H-Atom des ehemaligen Ethin-Moleküls als Proton ab, es bildet sich wieder ein negatives Carbanion, das sich dann nucleophil an ein zweites Formaldehyd-Molekül addiert. Bei dieser Reaktion entsteht 2-Butin-1,4-diol.
Schritt 3: Bildung von Butan-1,4-diol

Der nächste Schritt ist eine einfache Hydrierung, so wird aus dem 2-Butin-1,4-diol das wichtige Zwischenprodukt Butan-1,4-diol, das für zahlreiche industrielle Synthesen eingesetzt wird, vor allem für die Synthese von Buta-1,3-dien, das ein fast noch wichtigeres Zwischenprodukt ist.
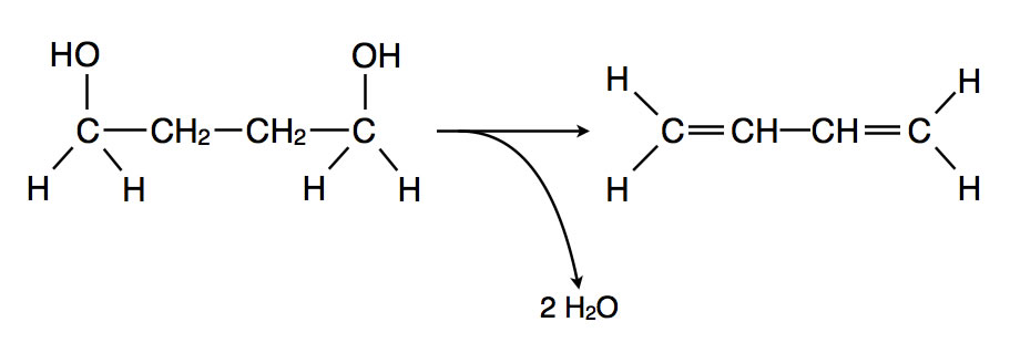
Schritt 4: Bildung von Buta-1,3-dien

War die Hydrierung in Schritt 3 noch eine elektrophile Addition an eine C-C-Dreifachbindung, so ist die Abspaltung von zwei Wasser-Molekülen eindeutig das Gegenteil, nämlich eine Eliminierung.
Schritt 5: Bildung von 3,4-Dichlorbut-1-en

Jetzt erfolgt wieder mal eine elektrophile Addition; das Dien wird chloriert, dabei entsteht 3,4-Dichlorbut-1-en. Die Chlor-Dosis wird dabei so gewählt, dass im Schnitt nur eine der beiden Doppelbindungen chloriert wird.
Schritt 6: Bildung von Chloropren

In diesem Schritt bildet sich schließlich das Endprodukt der Reaktionskette, das Chloropren. Wieder handelt es sich um eine Eliminierung, diesmal wird HCl abgespalten.