
Nucleophile Addition (säurekatalysierter Mechanismus)
In diesem Video von Ramona Reinhart wird der säurekatalysierte SN-Mechanismus sehr anschaulich erklärt.
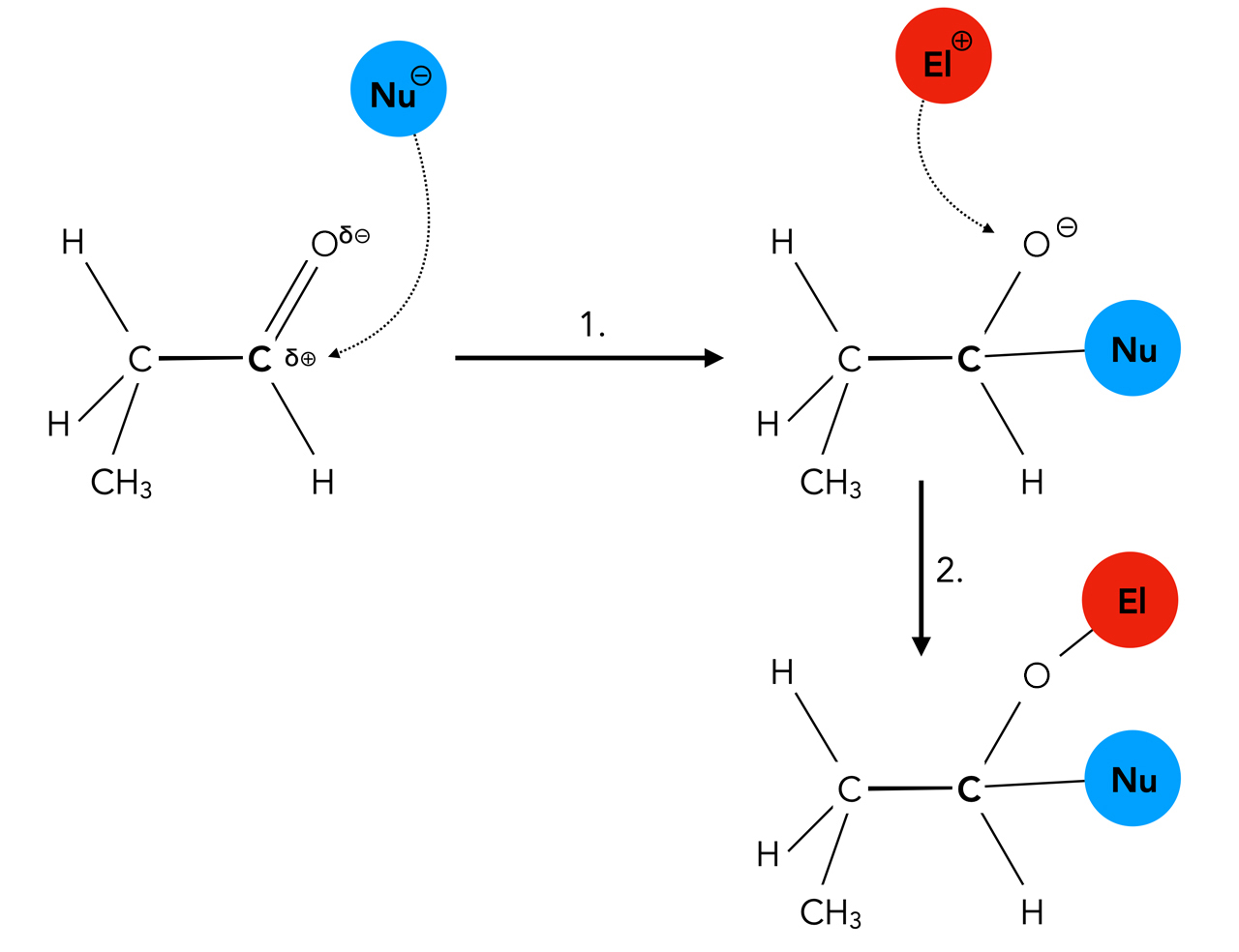
Ablauf der Nucleophilen Addition
Die Nucleophile Addition AN ist eine Additionsreaktion an eine C=O-Doppelbindung, die in zwei Schritten erfolgt:

Grundschema der Nucleophilen Addition
Autor: Ulrich Helmich 04/2024, Lizenz: Public domain
Schritt 1:
Ein Nucleophil, in der Regel also eine Lewis-Base, lagert sich an das positiv polarisierte C-Atom der C=O-Doppelbindung an.
Schritt 2:
Ein Elektrophil, oft eine Lewis-Säure, lagert sich an das O-Atom an.
Einzelheiten zur Nucleophilen Addition
Die Einzelheiten zur Nucleophilen Addition werden nun auf den Folgeseiten besprochen. Wir fangen mit der einfachsten Reaktion an, nämlich der Addition von Wasser an ein Aldehyd oder Keton.
Nucleophile Addition Q1, Q2
Diese Seiten wurden speziell für Erstsemester der Fächer Chemie, Biologie, Pharmazie etc. geschrieben. Hier werden die einzelnen Reaktionstypen der Nucleophilen Addition genauer behandelt.
Seitenanfang -
Weiter mit der Addition von Wasser...