Helmichs Chemie-Lexikon

Cannizzaro-Reaktion

Die Cannizzaro-Reaktion, benannt nach ihrem Entdecker Stanislao Cannizzaro (1826-1910) gehört zu den Disproportionierungen: Zwei Verbindungen mit einer mittleren Oxidationsstufe reagieren zu einer Verbindung mit einer höheren und einer Verbindung mit einer niedrigeren Oxidationsstufe.

Die Cannizzaro-Reaktion liefert in stark basischem Medium aus zwei Aldehyden eine Carbonsäure und einen Alkohol, indem ein Hydrid-Anion von dem einen Aldehyd auf den anderen übertragen wird. Der Aldehyd, der das H--Anion abgibt, wird dann zur Carbonsäure oxidiert, und der Aldehyd, der das H--Anion aufnimmt, wird zum Alkohol reduziert.

Allerdings funktioniert diese Reaktion nur bei Aldehyden, die kein α-H-Atom besitzen. Warum das so ist, wird mit den beiden nächsten Abbildungen erklärt:

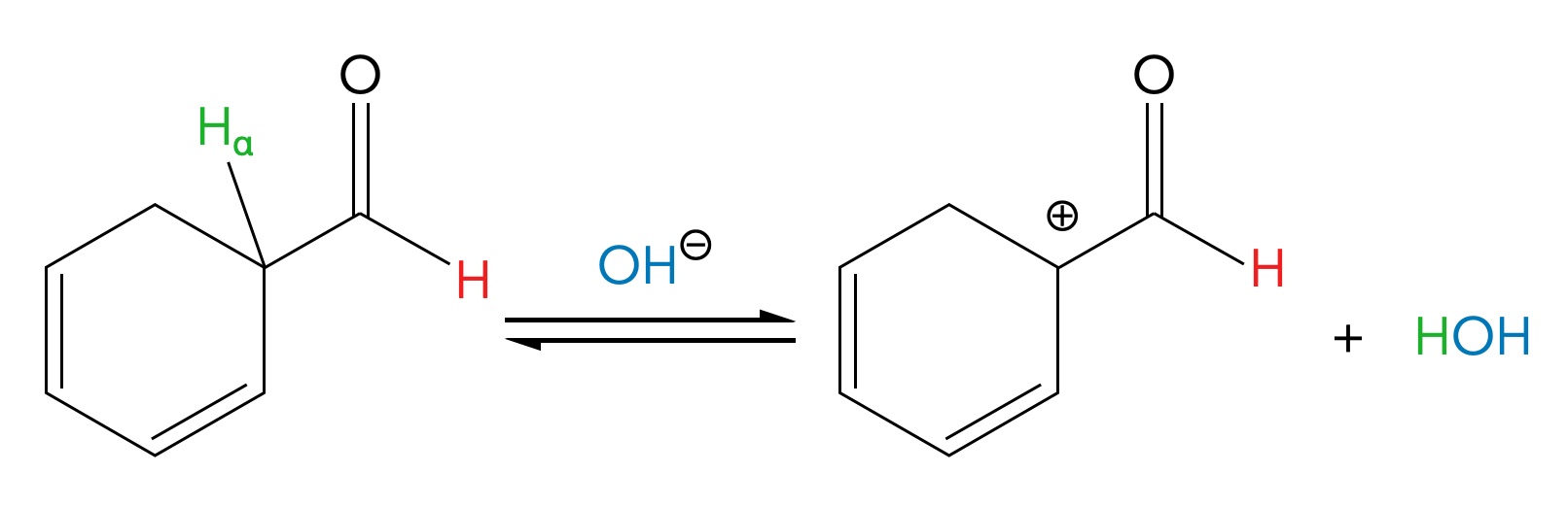
Das Hydroxid-Ion wirkt hier als Base
Autor: Ulrich Helmich 08/2024, Lizenz: Public domain.

Hier sehen wir ein Cyclohexadien-carbaldehyd mit einem Hα-Atom am Ring. Das Hydroxid-Ion greift dieses Hα-Atom als Base an und abstrahiert es als Proton, so dass sich ein H2O-Molekül bildet.

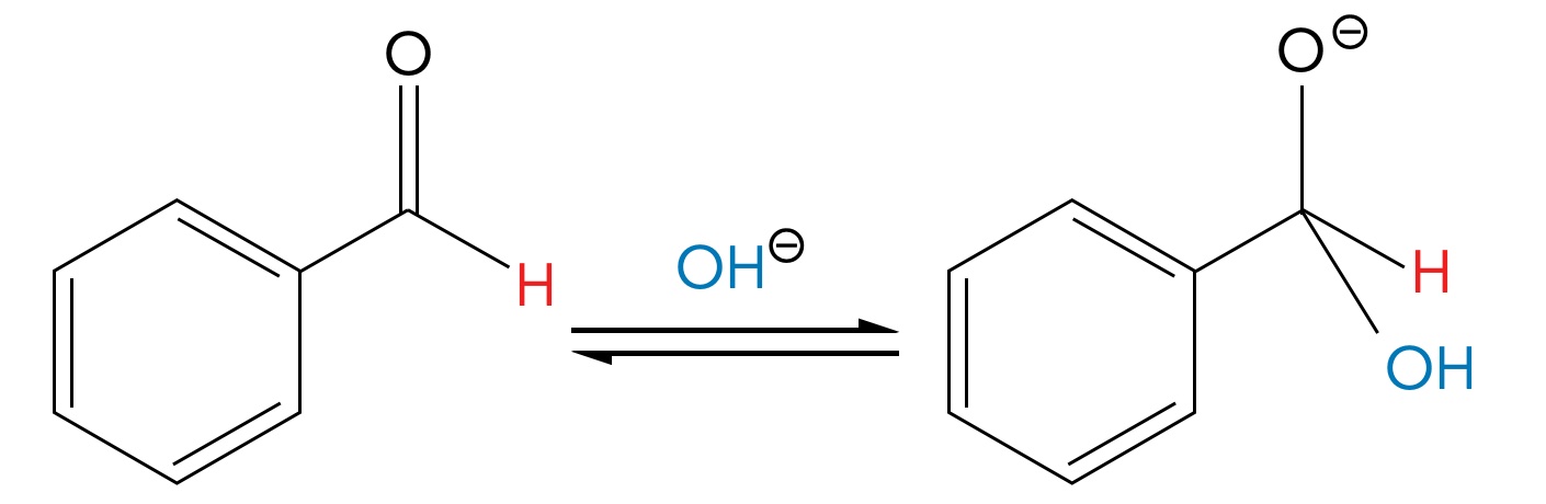
Das Hydroxid-Ion wirkt hier als Nucleophil
Autor: Ulrich Helmich 08/2024, Lizenz: Public domain.

Wenn in der Verbindung jedoch kein Hα-Atom vorhanden ist, dann greift das Hydroxid-Ion als Nucleophil an und setzt sich an das positiv polarisierte C-Atom der Aldehyd-Gruppe.

Die Einzelschritte

Die Einzelschritte der Cannizzaro-Reaktion
Autor: Ulrich Helmich 2022, Lizenz: Public domain. Für eine größere Darstellung bitte auf das Bild klicken.

  1. In stark basischer Umgebung greift ein Hydroxid-Ion OH- das Carbonyl-C-Atom des Benzaldehyds in einer nucleophilen Addition an, die negative Ladung wird vom Carbonyl-O-Atom übernommen.
  2. Ein zweites Benzaldehyd-Molekül kommt ins Spiel. Der rote Pfeil deutet an, welchen Weg das rot markierte H-Atom der Aldehydgruppe nehmen wird.
  3. Das H-Atom der Aldehydgruppe des linken Benzaldehyd-Moleküls wird als Hydrid-Ion abgespalten. Es bildet sich eine COOH-Gruppe, aus dem Aldehyd ist eine Carbonsäure geworden. Das Hydrid-Ion greift dann das Carbonyl-C-Atom des rechten Moleküls nucleophil an. Die negative Ladung wird vom O-Atom des Moleküls übernommen.
  4. Wenn man das Reaktionsmedium nun ansäuert, wird dieses negativ geladene O-Atom protoniert, und wir haben die beiden Endprodukte der Cannizzaro-Reaktion: eine Carbonsäure und einen Alkohol.
nucleophile Addition Q1, Q2

Einzelheiten zu diesem Reaktionsmechanismus finden Sie auf diesen Seiten zur Organischen Chemie für Oberstufen-Schüler(innen).

nucleophile Addition Studium

Wenn Sie Chemie oder ein verwandtes Fach studieren, sollten Sie sich diese Seite ansehen, die deutlich anspruchsvoller ist als die oben erwähnte Seite für Schüler(innen).

Cannizzaro-Reaktion

In der Wikipedia wird zusätzlich noch auf "Gekreuzte Cannizzaro-Reaktionen" eingegangen, was die Ausbeute an Alkohol stark erhöht.