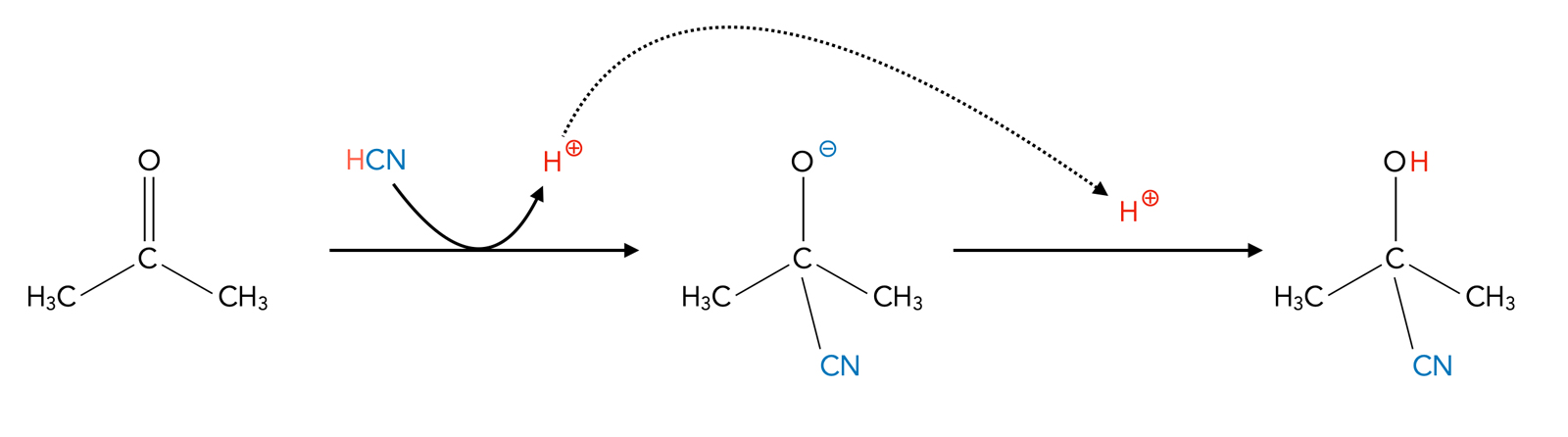
Acetoncyanhydrin
Eine wichtige Synthese ist die nucleophile Addition von Cyanwasserstoff (Blausäure, HCN) an Aceton. Das Reaktionsprodukt Acetoncyanhydrin ist ein wichtiges Zwischenprodukt bei der Herstellung von Methacrylsäuremethylester, dem Monomer des Kunststoffes Plexiglas.

Addition von Blausäure an Aceton
Autor: Ulrich Helmich 2022, Lizenz: Public domain
Wir müssen diese Reaktion nun nicht im Einzelnen besprechen, sie verläuft genau so ab wie bei der Addition von Wasser. Als Endprodukt bildet sich jedoch nicht ein Hydrat, sondern ein Cyanhydrin. Im Falle von Aceton das Acetoncyanhydrin, eine farblose und wasserlösliche Flüssigkeit, die leicht nach Blausäure (bittere Mandeln) riecht.
Auf dieser Seite habe ich den kompletten Reaktionsweg vom Propan zum Plexiglas beschrieben.
Interessant beim Cyanid-Anion -:C≡N: ist die Tatsache, dass die negative Ladung des Ions nicht am Stickstoff-Atom lokalisiert ist, sondern an dem Kohlenstoff-Atom. Das Cyanid-Anion greift die C=O-Doppelbindung also mit dem Kohlenstoff an, was dann zur Bildung einer neuen C-C-Einfachbindung führt.
Und das ist eigentlich auch die Hauptbedeutung dieses Reaktionstyps, die Bildung von neuen C-C-Bindungen.
Chemie-Abitur
Diese Reaktion sollten Sie unbedingt auswendig beherrschen, falls der mündlichen Abi-Prüfung oder in der Abi-Klausur mal danach gefragt wird, wie man neue C-C-Einfachbindungen in ein Molekül einführen kann.
Diese Seite wurde extra für Studienanfänger(innen) des Faches Chemie geschrieben. Hier wird vertiefend auf die nucleophile Addition von Blausäure eingegangen.
Seitenanfang -
Weiter mit der Addition von NH3 an Aldehyde und Ketone...