Ascorbinsäure
Vitamin C oder Ascorbinsäure ist wohl eines der bekanntesten Vitamine überhaupt. Die meisten Menschen kennen Vitamin C als gutes Mittel zur Vorbeugung von Erkältungen oder grippalen Infekten - wer kennt nicht die Vitamin C-Brausetabletten?
Zwar ist Ascorbinsäure nicht das älteste bekannte Vitamin, aber die Vitamin C-Mangelerkrankung Skorbut ist schon seit über 4000 Jahren bekannt.
Auf dieser Wikipedia-Seite ist die Geschichte des Skorbuts sehr ausführlich dargestellt.
Der Name "Ascorbinsäure" leitet sich tatsächlich von dem Wort "Scorb-ut" ab, das "A" steht für die Negation (Verneinung), Ascorbinsäure ist also "gegen Skorbut". Und da Ascorbinsäure mit einem pKS-Wert von 4,25 deutlich saurer ist als Essigsäure (pKS = 4,8), ist auch die Bezeichnung "Säure" gerechtfertigt.
Der pKS-Wert ist ein Maß für die Stärke einer Säure. Je kleiner die Zahl, desto stärker die Säure. Eine Säure mit einem pKS-Wert von 3 ist 10 mal so stark wie eine Säure mit dem pKS-Wert von 4, eine Säure mit dem pKS-Wert von 2 ist sogar 100 mal so stark wie eine Säure mit dem pKS-Wert 4. Sehr starke Säuren wie beispielsweise Salzsäure haben sogar negative pKS-Werte.
Struktur

Strukturformel von Ascorbinsäure
Autor: Ulrich Helmich 10/2023, Lizenz: ---
Betrachtet man den Fünferring des Moleküls mit seinem O-Atom und den beiden OH-Gruppen, könnte man zunächst an das Kohlenhydrat Fructose denken. Genau wie Fructose und Glucose enthält Ascorbinsäure auch sechs C-Atome und sechs O-Atome. Allerdings ist die Summenformel der Ascorbinsäure C6H8O6 und nicht C6H12O6 wie bei den beiden Hexosen, es fehlen also vier H-Atome. Das liegt natürlich an den beiden Doppelbindungen im Ascorbinsäure-Molekül, einer C=C-Doppelbindung und einer C=O-Doppelbindung. Würde man der Ascorbinsäure vier H-Atome hinzufügen, hätte sie die gleiche Summenformel wie die Glucose oder Fructose.
Ascorbinsäure als Reduktionsmittel
Nun könnte man denken, Ascorbinsäure ist ein Oxidationsmittel und würde vier H-Atome aufnehmen, indem sie diese einer anderen Verbindung entreißt und diese dadurch oxidiert (Oxidation = Entzug von H-Atomen).
Leider ist diese Annahme voreilig und falsch. Im Gegenteil, Ascorbinsäure ist ein Reduktionsmittel, kann also weitere H-Atome an andere Verbindungen abgeben (Reduktion = Aufnahme von Elektronen).

Oxidation der Ascorbinsäure zu Dehydro-Ascorbinsäure
Autor: Ulrich Helmich 10/2023, Lizenz: Public domain
Auf diesem Bild sieht man die Oxidation der Ascorbinsäure durch Abgabe von zwei Protonen und zwei Elektronen, insgesamt also von zwei H-Atomen.
Bei den meisten biologischen Oxidationen, ja eigentlich bei allen, wird Wasserstoff ja nie in freier Form als H oder H2 abgegeben, sondern immer in Form eines Protons H+ und eines Elektrons e-. Meistens werden die freigesetzten Protonen dann anders verwertet als die freigesetzten Elektronen.
Durch Aufnahme von zwei Protonen und zwei Elektronen kann die Dehydro-Ascorbinsäure wieder in Ascorbinsäure zurückgebildet werden, in diesem Fall liegt keine Oxidation vor, sondern eine Reduktion. Die Oxidation der Ascorbinsäure ist also reversibel, man spricht dann auch von einer Redoxreaktion (Reduktion / Oxidation = Redox).
Ascorbinsäure als Cofaktor bei Redoxreaktionen
Sowohl die Ascorbinsäure wie auch ihre oxidierte Form, die Dehydro-Ascorbinsäure, spielen eine Rolle als Cofaktoren in biologischen Redoxreaktionen.
Die Ascorbinsäure kann, wie bereits oben gesagt, zwei Protonen und zwei Elektronen zur Verfügung stellen und dadurch andere Verbindungen reduzieren, ähnlich wie NADH/H+, NADP/H+ oder FADH2.
Ascorbinsäure als Radikalfänger
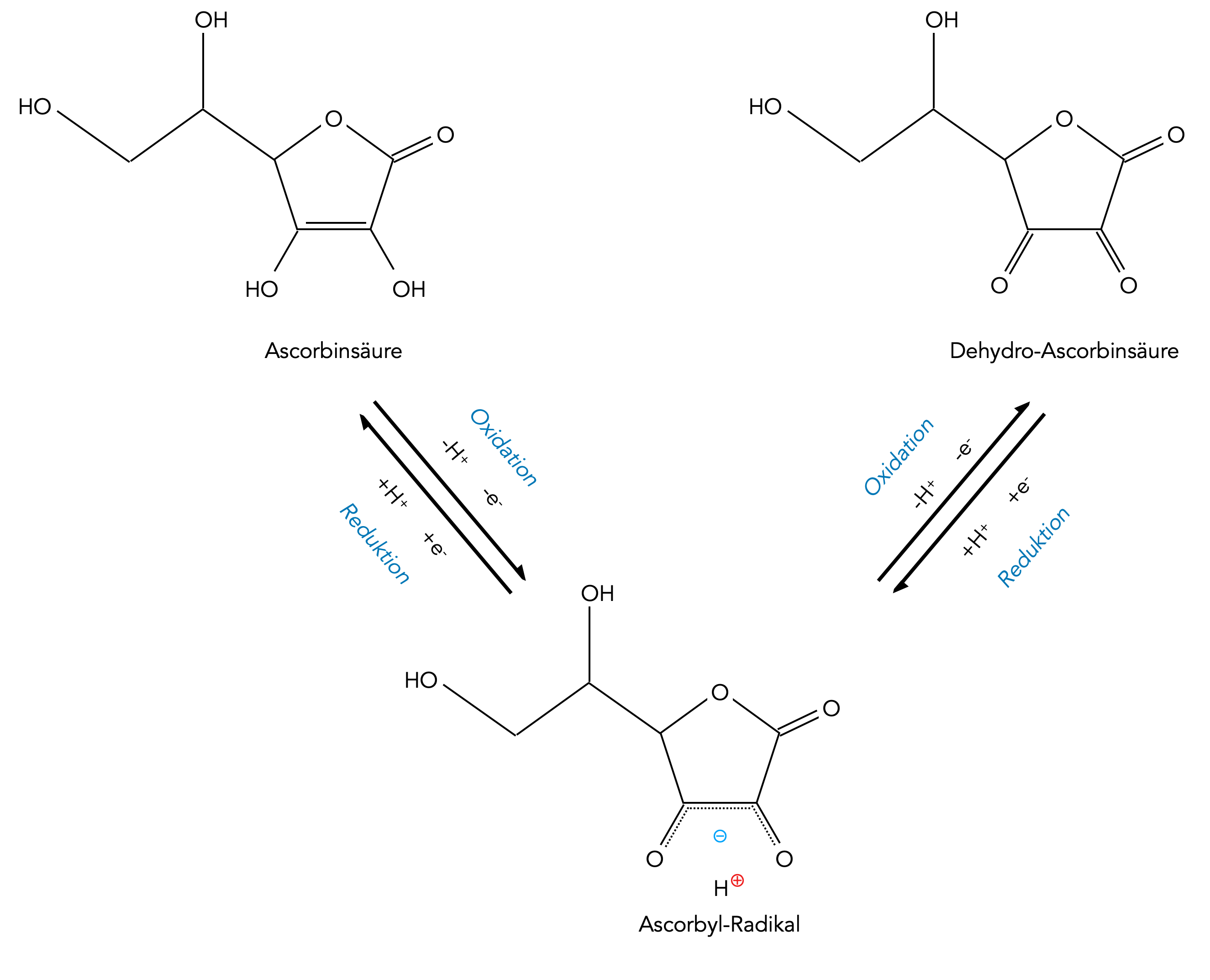
Die nächste Abbildung ist eine genauere Darstellung der Abbildung 2:

Das Ascorbyl-Radikal als Zwischenprodukt der Ascorbinsäure-Oxidation
Autor: Ulrich Helmich 10/2023, Lizenz: Public domain
Die Oxidation der Ascorbinsäure verläuft nicht in einem, sondern in zwei Schritten. Zunächst wird nur ein Proton und ein Elektron abgegeben, und dabei entsteht als Zwischenprodukt das Ascorbyl-Radikal.
Unter einem Radikal versteht man allgemein ein Atom, Molekül oder Ion, das ein ungepaartes Elektron besitzt. Wenn Sie in der Sek. I das Kugelwolkenmodell kennen gelernt haben, wissen Sie, dass Radikale eine Kugelwolke besitzen, die mit nur einem Elektron gefüllt ist ("einsames Elektron"). Jede Kugelwolke strebt aber den Besitz von zwei Elektronen an. Daher reagieren Radikale mit Stoffen, die ihnen dieses eine fehlende Elektron "spendieren" können. Man könnte Radikale somit auch als "Elektronenfänger" bezeichnen.
Bei den Stoffwechselreaktionen in unseren Zellen kommt es immer wieder vor, dass Radikale entstehen. Solchen Radikalen fehlt ebenfalls ein Elektron. Daher haben sie die Tendenz, anderen Molekülen ein Elektron zu entreißen. Wenn ein solches Radikal ein Elektron aus einem anderen Molekül herausreißt, wird dieses Molekül selbst zu einem Radikal. Und dieses neue Radikal hat wieder die Neigung, ein Elektron aus einem weiteren Molekül zu ziehen. So geht das immer weiter, man spricht hier auch von einer Kettenreaktion.
Die Radikale, die bei dieser Kettenreaktion gebildet werden, greifen alle möglichen Bio-Moleküle an und schädigen sie: Proteine, Fettsäuren, DNA, Coenzyme und so weiter.
Interessant ist aber, wenn zwei solcher Radikale zusammenstoßen. Jedes Radikal hat ein ungepaartes Elektron (eine einfach besetzte Kugelwolke). Stoßen zwei dieser Radikale zusammen, können sich die beiden "einsamen" Elektronen zu einem Elektronenpaar vereinigen - es entsteht dann eine neue Elektronenpaarbindung (kovalente Bindung) - aus zwei gefährlichen Radikalen ist eine eher harmlose Verbindung entstanden.
Und hier kommt nun das Vitamin C ins Spiel. Durch Abgabe eines Protons und Elektrons wird das Vitamin C-Molekül zu einem Radikal, nämlich zum Ascorbyl-Radikal. Trifft dieses Ascorbyl-Radikal nun auf ein anderes Radikal, das im Stoffwechsel entstanden ist, so macht das Ascorbyl-Radikal dieses Radikal unschädlich. Daher bezeichnet man Vitamin C auch als Radikalfänger.
Aufgaben im Körper
Bereits im vorherigen Abschnitt hatten wir die Aufgaben von Vitamin C kurz angerissen. Vitamin C kann als Reduktionsmittel in biochemischen Reaktionen wirken, indem des Protonen und Elektronen an andere Verbindungen abgibt, und es wirkt als Radikalfänger, macht also gefährliche Radikale, die bei Stoffwechselreaktionen oft entstehen, unschädlich.
Schlieper [1] nennt in ihrem Buch folgende Aufgaben der Ascorbinsäure:
Cofaktor von Hydrolasen und Oxidasen:
Vitamin C ist außerdem am Eisenstoffwechsel, bei der Hemmung der Nitrosamin-Bildung und bei der Entgiftung zahlreicher schädlicher Verbindungen beteiligt.
Eine ähnliche Auflistung finden wir auch in den anderen Fachbüchern, zum Beispiel im Hahn et al [2].
Die Liste der Aufgaben und Funktionen von Vitamin C im menschlichen Körper ist sehr lang. Daher wurde das Thema auf eine eigene Seite ausgelagert.
Mangelerscheinungen
Skorbut ist wohl die bekannteste Mangelerscheinung für Vitamin C.
Auf dieser Wikipedia-Seite ist die Geschichte des Skorbuts sehr ausführlich dargestellt.
Heute tritt Skorbut so gut wie nicht mehr auf. Die Hauptursache für Skorbut ist die fehlerhafte Synthese von Kollagen (siehe Aufgaben von Vitamin C: Kollagenbiosynthese).
Hypervitaminosen
Bisher sind noch keine Vitamin C-Hypervitaminosen bekannt. Selbst die Aufnahme von 2 g Vitamin C pro Tag konnten keine schädlichen Wirkungen beobachtet werden [1].
Vitamin C - Bedarf
Die DGE empfiehlt eine Tageszufuhr von 110 mg für Männer, 95 mg für Frauen, Schwangere sollten ebenfalls 110 mg und Stillende 150 mg zu sich nehmen. Kinder bis 4 Jahre benötigen laut DGE nur ca. 60 mg / Tag [3].
Die WHO (Weltgesundheitsorganisation) empfiehlt eine tägliche Zufuhr von 45 mg, damit werden zumindest die klinischen Symptome von Skorbut verhindert [2].
Der Bedarf an Vitamin C ist erhöht bei starker körperlicher Belastung, wenn man viel Alkohol trinkt, bei Diabetes mellitus und wenn man stark raucht [1]. Raucher sollten 155 mg / Tag zu sich nehmen, Raucherinnen 135 mg / Tag [3].
Prävention von Krankheiten
Herz-Kreislauf-Erkrankungen
Laut [2] gibt es mehrere Studien, nach denen ein erhöhter Vitamin-C-Konsum das Risiko kardiovaskulärer Erkrankungen vermindert. "Das geringste Risiko wurde bei einer zusätzlichen Einnahme von mindestens 400 mg/d beobachtet, wobei sich kein Zusammenhang mit der Zufuhr von Vitamin C aus der Nahrung zeigte" [2, S. 196].
Tumorerkrankungen
Auch hierzu gibt es zahlreiche Studien, aber die Studien sind teils widersprüchlich oder zeigen keinen Zusammenhang zwischen Vitamin-C-Zufuhr und der Häufigkeit von Magen- und Lungenkrebs [2].
Grauer Star
Es scheint zwar einen Zusammenhang zu geben, allerdings muss man mindestens 10 Jahre lang höhere Dosen von Vitamin C zu sich genommen haben, um das Risiko des Grauen Stars um ca. 80% zu erniedrigen: "Verglichen mit Frauen, die kein Vitamin C einnahmen, hatten die langjährigen Verwenderinnen ein um 77-83% herabgesetztes Risiko für Linsentrübungen". [2, S. 196]
Erkältungskrankheiten
Krankheitsrisiko: Nach Auswertung von 30 Studien mit 11.350 Teilnehmern ist eine erhöhte Vitamin-C-Zufuhr "in einer durchschnittlich ernährten Normalbevölkerung ohne klinischen Nutzen". Andere Studien zeigten dagegen, dass Personen, die besonderen Stress-Situationen ausgesetzt sind, von einer prophylaktischen Vitamin-C-Einnahme profitieren [2].
Die Krankheitsdauer kann durch Vitamin C jedoch nachweisbar reduziert werden. 30 Studien haben ergeben, dass die Krankheitsdauer bei Erwachsenen um 8%, bei Kindern sogar um fast 14% reduziert werden kann.
Das hört sich gut an, ist aber nicht viel: Dauert eine normale Erkältung 7 Tage, dann bedeutet eine Reduzierung um 8%, dass die Krankheit nur noch 6,5 Tage dauert. Man gewinnt also einen halben Tag - statistisch gesehen.
Die Krankheitsschwere kann durch Vitamin C nicht nachweisbar reduziert werden [2].
Schauen wir uns noch kurz an, was die DGE zu diesem Thema schreibt [3]:
"Es ist wissenschaftlich nicht bewiesen, dass die Einnahme von Vitamin-C-Präparaten in hohen Dosen (>= 200 mg/Tag) Erkältungen in der Allgemeinbevölkerung vorbeugen oder heilen kann. Demzufolge besteht kein Anlass für eine routinemäßige Einnahme eines Präparats. Lediglich bei Personen unter schwerer körperlicher Belastung oder in kalter Umgebung könnte sie gerechtfertigt sein, bei ihnen wurde ein verringertes Risiko durch die Einnahme von Vitamin-C-Präparaten festgestellt."
Vitamin C reiche Lebensmittel
Menschen können Vitamin C nicht selbst synthetisieren und müssen es daher mit der Nahrung aufnehmen. Gute Vitamin-C-Lieferanten sind Gemüse und Obst und die aus ihnen möglichst schonend hergestellten Produkte. Wenn man "Gemüse und Obst" hört, denken die meisten Leute zunächst an die Zitrone als Vitamin-C-Lieferanten.
Wie die folgende Liste aus [2] zeigt, gibt es aber Lebensmittel, die einen wesentlich höheren Vitamin-C-Gehalt haben als die Zitrone.
- Acerola (westindische Kirsche): 1700 mg / 100 g
- Sanddornbeeren-Saft: 266 mg / 100 g
- schwarze Johannisbeeren: 177 mg / 100 g
Das sind die drei vitaminreichsten Lebensmittel. Und wie viel Vitamin C enthält die Zitrone? Nur 51 mg / 100 g. Selbst Erdbeeren enthalten noch mehr Vitamin C (57 mg / 100 g).
Weil die Ascorbinsäure so leicht oxidiert werden kann, muss man beim Zubereiten solcher Lebensmittel gut aufpassen, damit es nicht zu starken Verlusten an Vitamin C kommt. Längeres Kochen, aber auch schon Warmhalten von Obst und Gemüse führt zu starken Verlusten an Vitamin C.
Viele Pflanzen enthalten ein Enzym, das Vitamin C abbaut. Darum ist auch längeres Lagern von frischem Obst nicht zu empfehlen.
Der Vitamin-C-Bedarf (siehe oben) kann nach [3] leicht durch folgende Lebensmittel erreicht werden:
- Einer halben roten Paprika (75 g) und einem halben Glas Orangensaft /125 ml),
- 200 g Salzkartoffeln, 150 g Spinat (gedünstet) und 1 Apfelsine,
- 150 g Rosenkohl (gegart), 1 Apfel und 2 mittelgroßen Tomaten.
Die DGE hat ja auch die "5 am Tag"-Empfehlung ausgesprochen, nach der man pro Tag fünf Portionen Obst und Gemüse zu sich nehmen soll. Auch dies dient vor allem der Vitamin-C-Versorgung des Körpers.
Aufnahme in den Körper
Vitamin C wird wie die anderen wasserlöslichen Vitamine durch die Schleimhautzellen des Dünndarms aufgenommen. Allerdings werden Ascorbinsäure und ihr Oxidationsprodukt, die Dehydroascorbinsäure, mit Hilfe von zwei verschiedenen Transportsystemen aufgenommen.
Die Ascorbinsäure selbst wird über einen Na+-angetriebenen aktiven Cotransport in das Epithel aufgenommen. Bei höheren Konzentrationen kann auch eine einfache Diffusion erfolgen. Die nicht aufgenommene Ascorbinsäure - beispielsweise bei einer Überdosierung - gelangt in den Dickdarm. Dort erhöht sie den osmotischen Wert, was den Austritt von Wasser in das Darmlumen zur Folge hat, und das wiederum kann zu Durchfall führen [2].
Nachdem die Ascorbinsäure in das Blut transportiert wurde, wird sie von den Zielzellen wieder über spezielle Transportproteine aufgenommen. Die Ascorbinsäure gelangt über den Na+-angetriebenen Vitamin-C-Transporter in die Zellen, das Oxidationsprodukt wird interessanterweise über die Glucose-Transporter GLUT1 und GLUT3 aufgenommen [2].
Exkretion
Als wasserlösliches Vitamin wird Vitamin C ohne Probleme durch die Niere mit dem Harn ausgeschieden, ein großer Teil der Ascorbinsäure wird allerdings vorher reabsorbiert [2].
Quellen:
- Schlieper, Grundfragen der Ernährung, 21. Auflage, Hamburg 2014.
- Hahn et al., Ernährung, 3. Auflage, Stuttgart 2016.
- "Vitamin C" auf den Seiten der DGE.