Pantothensäure
Vitamin B5, bekannter als Pantothensäure, spielt eine wichtige Rolle im Stoffwechsel des Menschen (und der Tiere). Pantothensäure gehört als B-Vitamin zu den wasserlöslichen Vitaminen und erfüllt viele wichtige Funktionen im Körper. Auch Ihnen dürfte Pantothensäure schon des Öfteren im Unterricht begegnet sein, denn es ist ein wichtiger Baustein des Coenzyms A.
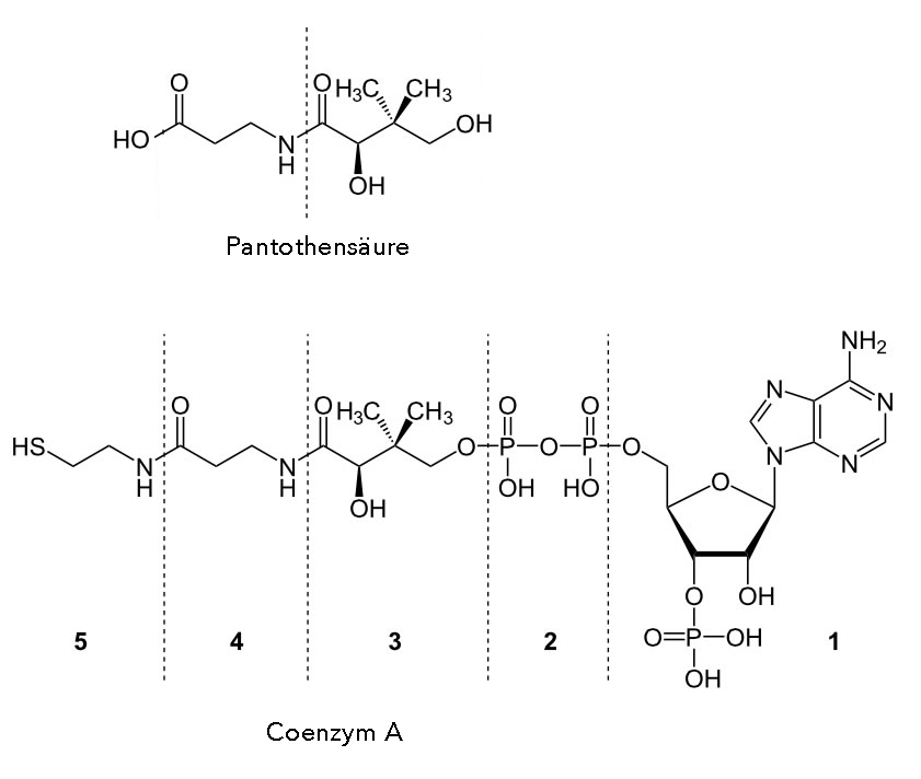
Struktur von Pantothensäure und Coenzym A

Strukturformeln von Pantothensäure und Coenzym A
Quelle: Wikipedia, Autor: NEUROtiker , verändert von U. Helmich 10/2023, Lizenz: public domain
Oben sehen wir die Strukturformel der Pantothensäure und ihres Folgeproduktes Coenzym A.
Coenzym A
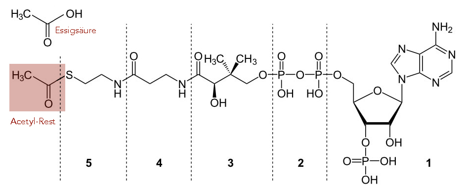
Acetyl-CoA
Coenzym A ist ein Überträger von Fettsäure-Resten. Am bekanntesten ist sicherlich Acetyl-Coenzym A:

Acetyl-CoA
Autor: NEUROtiker , stark verändert von U. Helmich 10/2023, Lizenz: public domain
Hier sehen wir das Acetyl-Coenzym A-Molekül. Der Acetyl-Rest ist nichts anderes als ein Essigsäure-Molekül, dem eine OH-Gruppe entfernt wurde.
Am bekanntesten ist Acetyl-Coenzym A als Verbindungsglied zwischen Glycolyse und Citratzyklus. Das Endprodukt der Glycolyse, das Pyruvat, reagiert im nächsten Schritt mit dem Coenzym A, und zwei C-Atome des Pyruvats werden als Acetyl-Rest auf das Coenzym A übertragen. Das so entstandene Acetyl-CoA fließt dann in den Citratzyklus ein. Das dritte C-Atom des Pyruvats wird in Form von CO2 abgegeben.
Weitere Informationen zum Coenzym A finden Sie auf der entsprechenden Seite in meinem Biologie-Lexikon.
Acyl-CoA
Beim Abbau der Fettsäuren (β-Oxidation) überträgt Coenzym A nicht nur die einfache Essigsäure, sondern große Fettsäuren wie Ölsäure oder Stearinsäure.

Oxidation einer Fettsäure durch FAD
Autor: Ulrich Helmich 2019, Lizenz: CC BY-NC-SA 4.0
Hier sehen wir ein Bild von der Webseite zur beta-Oxidation von Fettsäuren. An das Schwefel-Atom des CoA ist eine längere Fettsäure gebunden, und zwar über die COOH-Gruppe, deren OH-Gruppe sich mit dem H-Atom der CoA-SH-Gruppe zu H2O verbunden hat. Außerdem sehen wir auf dem Bild das Coenzym FAD, das Ihnen ja bereits bei der Behandlung von Vitamin B2 begegnet ist.
Aufnahme in den Körper
Über die Aufnahme von Vitamin B5 in den Körper ist nicht viel bekannt. In der Wikipedia findet man nur den Hinweis, dass es vom Transportprotein SMVT (sodium multi-vitamin transporter) resorbiert wird, also von dem natriumabhängigen Multivitamintransporter.
"Beim Menschen kommt SMVT in allen Gewebetypen vor, ist also wahrscheinlich auch für die Aufnahme von Vitaminen über den Dünndarm verantwortlich." [3]
Auf der Seite reactome.org finden wir dann weitere Hinweise:
"The plasma membrane-associated transport protein SLC5A6 (SMVT) mediates the uptake of one molecule of pantothenate (PanK) and two sodium ions from the extracellular space to the cytosol." [4]
Die Na+-Ionen fließen passiv mit dem Konzentrationsgradienten in die Zelle und "reißen" quasi die Pantothensäure-Moleküle mit sich, es handelt sich also um einen typischen Cotransport.
Vorkommen in Lebensmitteln
Pantothensäure kommt hauptsächlich in folgenden Nahrungsmitteln vor [1]:
- Hering
- Schweineleber
- Champignons
- Blumenkohl
- Rindfleisch
- Erdnüsse
Auch in Milch, Vollkornprodukten und Erbsen ist Pantothensäure enthalten [5].
Bedarfsdeckung
Laut DGE beträgt die tägliche Menge an Pantothensäure, die man zu sich nehmen sollte, für Erwachsene ca. 6 mg [1]. Kinder sollten je nach Alter 2 bis 5 mg/Tag zu sich nehmen [5].
Die mittlere Zufuhr an Pantothensäure liegt in Deutschland bei 3,1 bis 4,5 mg/Tag, also deutlich unter den Empfehlungen der DGE [5].

Vitamin B5 ist auch ein beliebtes Nahrungsergänzungsmittel
Screenshot der Google-Suche nach Niacin
Wenn man im Internet nach "Vitamin B5" sucht, fällt vor allem die viele Werbung für Pantothensäure als Nahrungsergänzungsmittel auf. Typische Werbeaussagen sind beispielsweise:
"Der Powerstoff Vitamin B5 unterstützt deinen Energiestoffwechsel, die Verringerung von Müdigkeit und Ermüdung und den Erhalt deiner geistigen Leistung."
In einer Kapsel Vitamin B5 sind 500 mg Pantothensäure enthalten, und das bei einem Tagesbedarf von 6 mg. Wie sagte doch Sheldon zu Penny in einer Folge der Big Bang Theory? "You're buying here the ingridiens for very expensive urine" [6]. Überschüssiges Vitamin B5 wird nämlich einfach mit dem Urin ausgeschieden.
Mangelerscheinungen
Mangelsymptome treten nicht so oft auf, weil Pantothensäure fast in allen pflanzlichen und tierischen Lebensmitteln vorkommt. Daher kommt übrigens auch der Name "Pantothensäure", denn gr. panthos heißt so viel wie "überall".
Quellen:
- Schlieper, Grundfragen der Ernährung, 21. Auflage, Hamburg 2014.
- Wikipedia-Artikel "Nicotinsäure"
- Wikipedia-Artikel "Natriumabhängiger Multivitamintransporter"
- "SPC5A6 cotransports extracellular PanK und 2 Na+ to cytosol" auf reactome.org
- "Nahrungsergänzung mit Pantothensäure" auf Lebensmittelverband.de
- "Sheldon and Penny 'Recipe For Expensive Urine" auf YouTube