![]() |
![]() |
||
Brandfördernd | Reizend |
1. Einführung
Butanal C3H7-CHO das vierte Glied in der homologen Reihe der Alkanale nach Methanal und Ethanal und Propanal.
2. Strukturdaten

Das Butanal-Molekül
Autor: Ulrich Helmich 2025, Lizenz: Public domain
Die Bindungswinkel und Bindungslängen wurden mit der Messfunktion der Software Avogadro ermittelt, nachdem zuvor die energetisch günstigste Konformation erzeugt wurde.
Ob diese Daten den tatsächlichen Werten entsprechen, kann ich leider nicht überprüfen, die Fachliteratur und das Internet sind da nicht sehr mitteilsam.
3. Physikalische Eigenschaften
Überblick
Molare Masse | 72,11 g/mol |
Schmelztemperatur | -97 ºC |
Siedetemperatur | 75 ºC |
Dichte | 0,80 g/cm3 |
Farbe | farblos |
Geruch | stechend |
Wasserlöslichkeit | 71 g/l bei 20 ºC |
Dipolmoment | 2,72 D [3] |
Brennbarkeit/Zündtemperatur | 190 ºC |
Sonstiges | Die Dämpfe bilden mit Luft explosive Gemische |
3.1 Schmelz- und Siedepunkte
Der Schmelzpunkt von Butanal liegt mit -97 ºC entgegen den Erwartungen nicht über, sondern unter dem Schmelzpunkt von Propanal (-81 ºC ). Offensichtlich ist die Packungsdichte im Butanal-Kristall geringer als die im Propanal-Kristall.
Der Siedepunkt von 75 ºC liegt dagegen erwartungsgemäß höher als der von Propanal (49 ºC ). Das liegt nicht an den Dipol-Eigenschaften des Butanals (Keesom-Kräften), sondern an den stärkeren London-Kräften, bedingt durch die zusätzliche CH2-Gruppe.
Verbindung | Siedetemperatur in ºC |
Pentan | 36 |
Butan-1-ol | 118 |
Butan-2-ol | 100 |
Propanal | 49 |
Butanal | 75 |
Andererseits ist der Siedepunkt deutlich höher als der eines vergleichbaren Alkans (Pentan). Dies ist auf das recht hohe Dipolmoment von 2,72 D zurückzuführen.
3.2 Löslichkeitsverhalten
Die Wasserlöslichkeit ist mäßig, aber vorhanden. Butanal kann H-Brücken mit Wasser-Molekülen bilden. Mit Ethanol und Diethylether ist Butanal beliebig mischbar.
4. Gewinnung und Synthese
Wenn man im Chemieunterricht der Sek. II gut aufgepasst hat, werden einem wahrscheinlich sofort zwei mögliche Verfahren zur Synthese von Propanal einfallen:
- Oxidation von Butan-1-ol
- Reduktion von Butansäure
Recherchiert man in der Fachliteratur und im Internet, stößt man jedoch auf folgende Verfahren, die in der Industrie Anwendung finden:
4.1 Hydroformylierung von Propen

Hydroformylierung von Propen
Quelle: Wikipedia, Lizenz: Public domain
Dieses Bild zeigt die Hydroformylierung des Alkens Propen. Die Reaktion erfolgt bei 90 bis 125 ºC und 10 bis 60 bar Druck. Als Katalysator wird Rhodium verwendet oder auch sulfonierte Triarylphosphine in wässriger Lösung [1].
Hydroformylierung
Text aus der Wikipedia, Hervorhebungen von mir.
Die Hydroformylierung (auch: Oxosynthese, seltener Roelen-Synthese oder Roelen-Reaktion) ist eine technisch bedeutende, homogen katalysierte Reaktion von Olefinen mit Kohlenstoffmonoxid und Wasserstoff. Die primären Produkte der Hydroformylierung sind Aldehyde mit einem Kohlenstoffatom mehr als das Olefinsubstrat. Diese Aldehyde werden zur Herstellung einer Vielzahl nützlicher Folgeprodukte verwendet, die Aldehyde selbst haben eine geringe Verwendbarkeit.
4.2 Weitere Methoden
Andere industrielle Methoden werden in der deutschen Wikipedia nicht erwähnt. Die engl. Wikipedia listet die bereits oben schon erwähnte Dehydrierung von Butan-1-ol auf sowie die "catalytic hydrogenation of crotonaldehyde, which is derived from acetaldehyde". [4].
Katalytische Hydrogenierung von Butenal
Crotonaldehyd ist quasi ein Butanal-Molekül mit einer C=C-Doppelbindung zwischen den C-Atomen 2 und 3. Es gibt eine cis- und eine trans-Form. Bei der Hydrierung ist es aber egal, welche der beiden Formen als Edukt eingesetzt wird, es entsteht stets Butanal.
trans-Crotonaldehyd kann aus Acetaldehyd synthetisiert werden, und zwar über eine basenkatalysierte Aldoladdition mit anschließender Aldolkondensation:

Synthese von trans-Crotonaldehyd aus Acetaldehyd
Quelle: Wikipedia, Lizenz: Public domain
Dieses Bild zeigt die Reaktion in zwei Schritten. Im ersten Schritt findet eine Aldol-Addition statt, zwei Moleküle Acetaldehyd (Ethanal) vereinigen sich zu einem größeren Molekül, das aus vier C-Atomen besteht und noch eine OH-Gruppe besitzt - nach der IUPAC-Nomenklatur müsste man dieses Zwischenprodukt als 3-Hydroxybutanal bezeichnen.
Im zweiten Schritt, der Aldol-Kondensation, wird ein Molekül Wasser eliminiert, es entsteht ein Butanal-Molekül mit einer C=C-Doppelbindung, das als 2-Butenal bezeichnet wird, genauer gesagt, als trans-2-Butenal. Diese Verbindung wird aber meistens als trans-Crotonaldehyd bezeichnet.
In einem dritten Reaktionsschritt wird das trans-2-Butenal nun mit Wasserstoff versetzt, in einer elektrophilen Addition von H2 bildet sich dann das Endprodukt Butanal.
5. Reaktionen
5.1 Oxidation, Verbrennung
Wie alle Alkanale ist auch Butanal leicht oxidierbar. Bei der Verbrennung entstehen Kohlendioxid und Wasser, bei der Oxidation mit Oxidationsmitteln wie Kupferoxid, Kaliumpermanganat etc. bildet sich die Verbindung Butansäure, eine Carbonsäure, besser bekannt als Buttersäure. Buttersäure ist übrigens die einfachste Fettsäure.
5.2 Nucleophile Addition
Als Aldehyd kann Butanal nucleophile Additionsreaktionen eingehen.

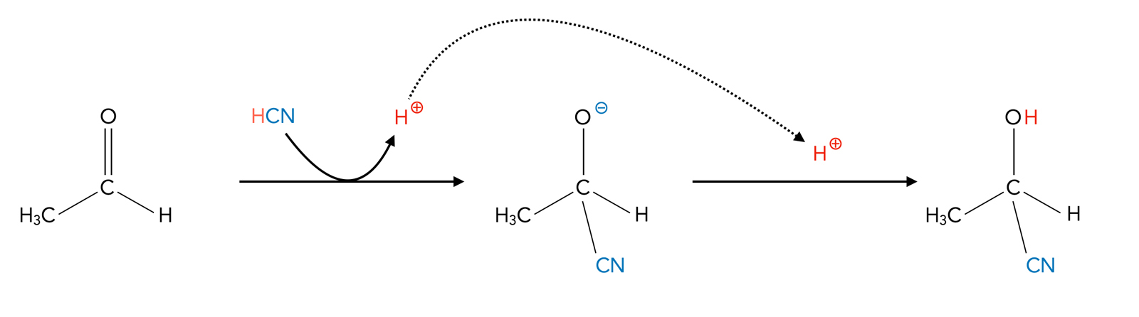
Addition von Blausäure an Ethanal
Autor: Ulrich Helmich 2025, Lizenz: Public domain
Hier sehen wir die Addition von Blausäure an Ethanal; die Reaktion mit Butanal müsste genau so verlaufen.
Eine vergleichbare Reaktion läuft bei der Plexiglas-Synthese ab; hier wird Blausäure an das Keton Aceton addiert.
Im ersten und langsamen Schritt setzt sich das Cyanid-Ion -CN (mit der negativen Ladung am C-Atom!) an das positiv polarisierte C-Atom des Aldehyds, und die negative Ladung, die das Cyanid-Ion mitbringt, wird auf das elektronegative O-Atom übertragen. Im zweiten und schnellen Schritt setzt sich ein Proton der Blausäure HCN an dieses nunmehr negativ geladene O-Atom, und fertig ist das sogenannte Cyanhydrin.
Die wesentliche Bedeutung der Cyanhydrin-Bildung liegt darin, dass die -CN-Gruppe leicht in eine COOH-Gruppe überführt werden kann. Auf diese Weise kann man ein Aldehyd in eine Hydroxy-Carbonsäure überführen. Aus Acetaldehyd würde sich dann 2-Hydroxy-propansäure bilden, aus Butanal entsprechend 2-Hydroxy-pentansäure.
Weitere wichtige nucleophile Additionsreaktionen sind
- die Addition von Wasser
- die Addition von Alkoholen
- die Addition von Aminen
- die Aldolkondensation
- die Grignard-Reaktion
All diese Reaktionstypen werden auf den Seiten zur Nucleophilen Addition in der Abteilung "Studienvorbereitung Organik" auf dieser Homepage näher beschrieben.
5.3 Reduktion
Großtechnisch wird Butanal katalytisch zu Butan-1-ol reduziert, durch Addition von Wasserstoff (Hydrierung).
Natürliches Vorkommen
Butanal kommt in vielen Pflanzen oder Pflanzenteilen natürlich vor, zum Beispiel in Äpfeln, Echtem Lorbeer, Reis oder Pelargonien.
Verwendung
In der chemischen Industrie
Butanal ist ein wichtiger Ausgangsstoff und Zwischenprodukt für die Herstellung von Kunstharzen, Weichmachern sowie synthetischen Gerb- und Riechstoffen.
Quellen:
- Wikipedia, Artikel "Butanal"
- Römpp Chemie-Lexikon, 9. Auflage 1992
- Internetchemie.info, Artikel "Butyraldehyd"
- engl. Wikipedia, Artikel "Butyraldehyde"