Home > Biologie > Stoffwechselbiologie > Atmung, Dissimilation > Citratzyklus > Einzelschritte

Schritt 6: Bildung von Succinat, Teil 2

Schritt 0 - 1 - 2 - 3 - 4 - 5 - 6 - 7 - 8 - 9 - Bilanz

Succinyl-CoA + GDP/Pi ==> Succinat + CoA + GTP

Schritt 6: Succinyl-CoA + GDP/Pi → Succinat + CoA + GTP
Autor: Ulrich Helmich 2022, Lizenz: siehe Seitenende.

Hier sieht man den zweiten Schritt der Succinat-Bildung. Der Succinyl-CoA-Komplex gibt das Coenzym A wieder frei, und da dieser Schritt ziemlich exotherm ist, reicht die freigesetzte Energie zur Bildung eines GTP-Moleküls aus GDP/Pi.

Das Enzym, das diesen Reaktionsschritt katalysiert, ist die Succinyl-CoA-Synthetase.

Das GTP ist ähnlich aufgebaut wie der universelle Energieträger ATP. In einer späteren Reaktion wird das GTP wieder gespalten, und die daraus gewonnene Energie wird benutzt, um ATP aus ADP/Pi herzustellen.

Einzelheiten der Reaktion für Experten

Die Umsetzung von Succinyl-CoA zu Succinat verläuft in drei Schritten [1,3]:

Schritt 6.1

Schritt 6.1
Autor: Ulrich Helmich 2022, Lizenz: siehe Seitenende

Im ersten Teilschritt greift eine Phosphat-Anion HPO32- das positiv polarisierte Carbonyl-C-Atom von Succinyl-CoA nucleophil an. Der Coenzym A - Rest wird als Coenzym A abgespalten, übrig bleibt ein Zwischenprodukt namens Succinylphosphat.

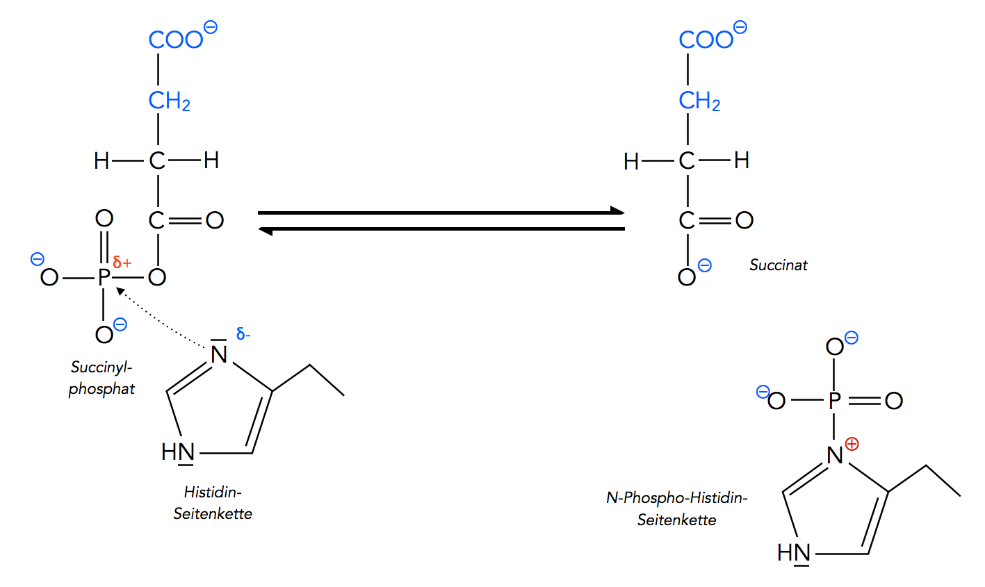
Schritt 6.2

Schritt 6.2
Autor: Ulrich Helmich 2022, Lizenz: siehe Seitenende

Jetzt kommt eine Histidin-Seitenkette im aktiven Zentrum des Enzyms ins Spiel. Das eine Stickstoff-Atom des Fünferrings ist negativ polarisiert und greift das positiv polarisiertes Phosphor-Atom der Succinyl-Phosphats nucleophil an. Der Phosphatrest wird dann auf die Histidin-Seitenkette übertragen, es bildet sich eine N-Phospho-Histidin-Seitenkette, und Succinat entsteht als eigentliches Reaktionsprodukt.

Aber noch ist die Reaktion nicht abgeschlossen. Das Histidin muss seine Phosphatgruppe wieder loswerden, damit es für die nächste Runde wieder zur Verfügung steht.

Schritt 6.3

Schritt 6.3
Autor: Ulrich Helmich 2022, Lizenz: siehe Seitenende

Für die Regeneration der Histidin-Seitenkette wird der Phosphatrest auf ein GDP-Molekül übertragen. Es entsteht dann GTP, ein Verwandter des ATP. Alternativ kann die Phosphatgruppe aber auch direkt auf ADP übertragen werden.

Zusammenfassung

Zusammenfassung der drei Einzelschritte
Quelle: engl. Wikipedia, Artikel "Succinyl coenzyme A synthetase", Autor: Blowry88, Lizenz: Public domain.

Hier sehen wir noch einmal eine schöne Zusammenfassung der drei Einzelschritte aus der englischsprachigen Wikipedia.

Quellen:

  1. Nelson, Cox. LEHNINGER Principles of Biochemistry. Macmillan Learning, New York 2021.
  2. Berg, Tymoczko, Gatto jr., Stryer: Stryer Biochemie, 8. Auflage, Springer Berlin Heidelberg 2018.
  3. "Succinyl-S-CoA Synthetase" von Catalyst University auf YouTube.
  4. Engl. Wikipedia, Artikel "Succinyl coenzyme A synthetase".

Seitenanfang -
Weiter mit Schritt 7 ...
Zurück zur Übersicht ...